Foram encontradas 40 questões.
Assinale a alternativa INCORRETA:
Provas
Questão presente nas seguintes provas
Um número é escolhido aleatoriamente entre 1 e 300. Qual a probabilidade de que este número
não seja divisível por 3 ou por 5?
Provas
Questão presente nas seguintes provas
Classifique os itens abaixo em verdadeiro ( V ) ou falso ( F ) e identifique a alternativa CORRETA:
( ) A hipotenusa de um triângulo retângulo isósceles cujo perímetro é igual a 2 cm mede 2 (√2 -1) cm.
( ) Se um triângulo tem 12cm de perímetro e 6cm2 de área, então o círculo inscrito neste triângulo tem área igual a πcm2.
( ) Se de cada uma das quatro pontas de um tetraedro regular de aresta 3 cm corta-se um tetraedro regular de aresta 1 cm, então a área total da superfície do poliedro resultante é 7√3cm2.
( ) A hipotenusa de um triângulo retângulo isósceles cujo perímetro é igual a 2 cm mede 2 (√2 -1) cm.
( ) Se um triângulo tem 12cm de perímetro e 6cm2 de área, então o círculo inscrito neste triângulo tem área igual a πcm2.
( ) Se de cada uma das quatro pontas de um tetraedro regular de aresta 3 cm corta-se um tetraedro regular de aresta 1 cm, então a área total da superfície do poliedro resultante é 7√3cm2.
Provas
Questão presente nas seguintes provas
Qual a área total de um cubo inscrito em uma esfera de raio r = √3cm ?
Provas
Questão presente nas seguintes provas
O domínio da função f ( x ) = tg ( 2x - 3π/2) e a imagem de
g ( x ) = sec x são dados, respectivamente, por:
Provas
Questão presente nas seguintes provas
Dê o somatório dos itens verdadeiros:
(1) O algarismo das unidades de 0! + 1!+ 2! + 3! + 4! + 5! + 6!+...+ 2015! é igual a 2016!.
(4) ln 5√e3 + (log53) (log925) é um número racional.
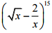
(8) O coeficiente de X6 no desenvolvimento de
é igual a -30.
(1) O algarismo das unidades de 0! + 1!+ 2! + 3! + 4! + 5! + 6!+...+ 2015! é igual a 2016!.
(4) ln 5√e3 + (log53) (log925) é um número racional.
(8) O coeficiente de X6 no desenvolvimento de
é igual a -30.Provas
Questão presente nas seguintes provas
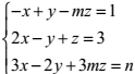
O sistema linear
é possível e indeterminado se:
Provas
Questão presente nas seguintes provas
Em uma operadora de telefone A, o valor a ser pago pela conta de telefone é calculado conforme
mostra o quadro a seguir.
Quantidade de minutos usados Valor a ser pago pelo consumo (em reais)
Até 40 R$ 40,00
Mais do que 40 R$ 40,00 + (R$ 0,80 por minuto que exceder os 40 iniciais)
Na operadora B, o valor a ser pago pelo consumo da conta de telefone é determinado por meio da função cuja lei de formação é representada algebricamente por
em que x representa a quantidade de minutos usados e B(x) representa o valor a ser pago (em reais).
Para qual quantidade de minutos consumidos, o valor a ser pago será maior na operadora B do que na operadora A?
Quantidade de minutos usados Valor a ser pago pelo consumo (em reais)
Até 40 R$ 40,00
Mais do que 40 R$ 40,00 + (R$ 0,80 por minuto que exceder os 40 iniciais)
Na operadora B, o valor a ser pago pelo consumo da conta de telefone é determinado por meio da função cuja lei de formação é representada algebricamente por
em que x representa a quantidade de minutos usados e B(x) representa o valor a ser pago (em reais).Para qual quantidade de minutos consumidos, o valor a ser pago será maior na operadora B do que na operadora A?
Provas
Questão presente nas seguintes provas
- FundamentosPotenciação e RadiciaçãoRadiciação
- FundamentosPotenciação e RadiciaçãoPotenciação
- Álgebra
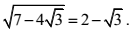
Qual das alternativas abaixo é igual a
?
Provas
Questão presente nas seguintes provas
- FundamentosPorcentagem
- FundamentosPotenciação e RadiciaçãoRadiciação
- FundamentosFrações e Números Decimais
- Álgebra
Considere as seguintes afirmações:
( 1 ) 0,999... = 1.
( 2 ) se a/b = c/d , então a /b = a + c / b + d .
( 4 ) 0,1234567891011... é um número racional.
( 8 )
= 26 = 64.
( 16 ) 
O somatório dos itens verdadeiros é igual a:
Provas
Questão presente nas seguintes provas
Cadernos
Caderno Container