Foram encontradas 50 questões.
No polígono ABCDEF temos que o lado AB é paralelo com lado CD, o lado AF é paralelo com lado DE e ABCD forma um trapézio retângulo em B. A área da região preenchida equivale a:

Provas
A sequência
é uma progressão
geométrica, onde x é um número real. Sabe-se
que a soma dos infinitos termos desta
sequência equivale a 25/3 . O valor de x é:
Provas
Uma função polinomial ƒ(X) = αx + b, com α ≠ 0 e α ∈ ℝ ∗ e b ∈ ℝ, está representada no gráfico a seguir. Podemos afirmar que o valor de ƒ -1 (-1) é igual a:

Provas
As retas r e t estão representadas no gráfico abaixo. A distância entre os pontos Q e W é igual a:

Provas
Provas
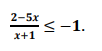
O professor Paulo colocou na lousa, como tarefa da aula, a seguinte inequação:
E quem a resolvesse corretamente ganharia um ponto na média. O aluno que ganhou este ponto entregou como solução desta inequação:
Provas
No diagrama entre os conjuntos A e B, a área preenchida do conjunto B representa a operação:

Provas
Provas
O gráfico abaixo representa a função do primeiro grau ƒ(x) = αx + b , com α ≠ 0 e {α, b} ⊂ ℝ. A distância do ponto P até a origem (0,0) é igual a:

Provas
A figura, a seguir, representa a planificação de um tetraedro regular.
Se todas as arestas deste tetraedro possuem a mesma medida, podemos afirmar que o volume é de:
Provas
Caderno Container