Foram encontradas 120 questões.
Quanto aos circuitos trifásicos operando em regime permanente senoidal, julgue o item.
Para uma carga trifásica desequilibrada conectada em estrela sem aterramento, a soma das correntes nos elementos da carga é igual a zero, independentemente de a sequência de fases da fonte ser ABC ou CBA.
Provas
Quanto aos circuitos trifásicos operando em regime permanente senoidal, julgue o item.
Para uma carga trifásica equilibrada conectada em delta sendo alimentada por uma fonte trifásica também equilibrada, o módulo das correntes nas linhas do sistema é igual ao módulo das correntes em cada elemento da carga trifásica dividido por √3.
Provas
Quanto aos circuitos trifásicos operando em regime permanente senoidal, julgue o item.
Para uma carga trifásica equilibrada conectada em estrela sendo alimentada por uma fonte trifásica também equilibrada, a tensão no ponto central da carga será igual a zero, independentemente de ele estar ou não aterrado.
Provas
Em um sistema trifásico equilibrado de sequência ABC, se o fasor tensão da fase A para a terra é igual a 380/ √3 < 0º V, o fasor tensão entre as fases A e C é igual a 380<330° V.
Provas
Quanto aos circuitos trifásicos operando em regime permanente senoidal, julgue o item.
Uma carga trifásica equilibrada constituída de três impedâncias Zy , conectadas em estrela, é equivalente a uma outra carga trifásica equilibrada constituída de três impedâncias ZΔ conectadas em delta, se ZΔ = Zy/3.
Provas
O ângulo da impedância de uma carga predominantemente indutiva é positivo, ao passo que o ângulo da sua potência complexa é negativo.
Provas
A potência complexa total de um circuito é calculada como a soma das potências complexas de todas as impedâncias que o compõem, independentemente de como elas estão conectadas.
Provas
Um circuito CA constituído pela associação de resistores, indutores e capacitores ideais estará em ressonância se o seu fator de potência visto dos seus terminais for igual a 1.
Provas
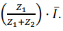
Uma corrente
divide-se pelo paralelo de duas
impedâncias Z1 e Z2, de modo que a corrente pela
impedância Z1 pode ser calculada como 
Provas
De acordo com o teorema de Thévenin, um circuito CA de dois terminais em regime permanente senoidal pode ser substituído por um circuito equivalente formado por uma fonte de tensão
em série com uma impedância Zth , sendo
a tensão de curto-circuito nos terminais e Zth a impedância equivalente nos terminais, quando as
fontes independentes forem desativadas.Provas
Caderno Container