Foram encontradas 120 questões.
Durante uma aula prática de física, os alunos realizaram
experimentos a respeito de trocas de calor e observaram
fenômenos ligados ao calor específico e à mudança de fase.
O professor destacou que o calor pode ser transferido por
condução, convecção ou radiação, e que a energia térmica
sempre flui espontaneamente do corpo mais quente para o
mais frio, até que se atinja o equilíbrio térmico.
Com base nesse situação hipotética e considerando os dados a seguir, julgue o item seguinte.
Se necessário, utilize:
• calor específico da água = 1 cal / (g.°C) • calor específico do alumínio = 0,22 cal/ (g . °C )
Suponha-se que, um bloco de alumínio de 200 g, inicialmente a 80 °C, é colocado em contato térmico com 100 g de água a 20 °C, dentro de um recipiente isolado. Nesse caso, admitindo-se a ausência de perdas, é corretor afirmar que o equilíbrio térmico é atingido quando o calor cedido pelo alumínio é igual ao calor absorvido pela água.
Com base nesse situação hipotética e considerando os dados a seguir, julgue o item seguinte.
Se necessário, utilize:
• calor específico da água = 1 cal / (g.°C) • calor específico do alumínio = 0,22 cal/ (g . °C )
Suponha-se que, um bloco de alumínio de 200 g, inicialmente a 80 °C, é colocado em contato térmico com 100 g de água a 20 °C, dentro de um recipiente isolado. Nesse caso, admitindo-se a ausência de perdas, é corretor afirmar que o equilíbrio térmico é atingido quando o calor cedido pelo alumínio é igual ao calor absorvido pela água.
Provas
Questão presente nas seguintes provas
Durante uma visita a um laboratório de materiais, os estudantes observaram como diferentes metais se comportam quando são aquecidos. O professor explicou que esse fenômeno recebe o nome de dilatação térmica dos sólidos. Esse conceito é muito importante na engenharia civil e mecânica, pois peças metálicas como barras, trilhos de trem, parafusos e anéis de encaixe precisam ser montadas levando em conta o quanto cada material se dilata ao ser aquecido.
Considere-se a seguinte situação.
• Uma barra de aço (αaço = 1,1 × 10-5 °C-1) possui diâmetro inicial de 2,500 cm a 20 °C; • Um anel de latão (αlatão = 1,9 × 10-5 °C-1) têm diâmetro interno inicial de 2,490 cm a 20 °C.
Em que α é o coeficiente de dilatação linear.
Ambos são aquecidos lentamente no laboratório até entrarem em equilíbrio térmico.
Com base nessa situação hipotética, julgue o item a seguir.
Nesse caso, é correto afirmar que para que haja o ajuste, a barra de aço precisa contrair ao ser aquecida, enquanto o anel de latão dilata.
Considere-se a seguinte situação.
• Uma barra de aço (αaço = 1,1 × 10-5 °C-1) possui diâmetro inicial de 2,500 cm a 20 °C; • Um anel de latão (αlatão = 1,9 × 10-5 °C-1) têm diâmetro interno inicial de 2,490 cm a 20 °C.
Em que α é o coeficiente de dilatação linear.
Ambos são aquecidos lentamente no laboratório até entrarem em equilíbrio térmico.
Com base nessa situação hipotética, julgue o item a seguir.
Nesse caso, é correto afirmar que para que haja o ajuste, a barra de aço precisa contrair ao ser aquecida, enquanto o anel de latão dilata.
Provas
Questão presente nas seguintes provas
Durante uma visita a um laboratório de materiais, os
estudantes observaram como diferentes metais se
comportam quando são aquecidos. O professor explicou
que esse fenômeno recebe o nome de dilatação térmica dos
sólidos. Esse conceito é muito importante na engenharia
civil e mecânica, pois peças metálicas como barras, trilhos
de trem, parafusos e anéis de encaixe precisam ser
montadas levando em conta o quanto cada material se
dilata ao ser aquecido.
Considere-se a seguinte situação.
• Uma barra de aço (αaço = 1,1 × 10-5 °C-1) possui diâmetro inicial de 2,500 cm a 20 °C; • Um anel de latão (αlatão = 1,9 × 10-5 °C-1) têm diâmetro interno inicial de 2,490 cm a 20 °C.
Em que α é o coeficiente de dilatação linear.
Ambos são aquecidos lentamente no laboratório até entrarem em equilíbrio térmico.
Com base nessa situação hipotética, julgue o item a seguir.
Nesse caso, é correto afirmar que o ajuste entre a barra e o furo ocorre porque o latão tem coeficiente de dilatação maior que o aço, de modo que em uma temperatura suficientemente alta, o furo do anel alcança o diâmetro da barra.
Considere-se a seguinte situação.
• Uma barra de aço (αaço = 1,1 × 10-5 °C-1) possui diâmetro inicial de 2,500 cm a 20 °C; • Um anel de latão (αlatão = 1,9 × 10-5 °C-1) têm diâmetro interno inicial de 2,490 cm a 20 °C.
Em que α é o coeficiente de dilatação linear.
Ambos são aquecidos lentamente no laboratório até entrarem em equilíbrio térmico.
Com base nessa situação hipotética, julgue o item a seguir.
Nesse caso, é correto afirmar que o ajuste entre a barra e o furo ocorre porque o latão tem coeficiente de dilatação maior que o aço, de modo que em uma temperatura suficientemente alta, o furo do anel alcança o diâmetro da barra.
Provas
Questão presente nas seguintes provas
Durante uma aula prática de física, o professor mostrou como a água que passa por um cano obedece a leis como a equação da continuidade, que garante que a vazão é a mesma em qualquer trecho do tubo, e a equação de Bernoulli, que relaciona velocidade e pressão em escoamentos. Considere-se que no experimento, a água escoa por um cano horizontal e sai para a atmosfera com velocidade de v1 = 12 m/s O diâmetro de saída é d1 = 3,0 cm, enquanto o diâmetro do trecho mais largo, é de d2 = 6,0 cm como mostrado na figura a seguir. Ressalta-se que a figura não está em escala.
Com base nessa situação hipotética, julgue os itens a seguir, e, se necessário, utilize massa específica da água igual a 103 kg/m3.
Pela equação de Bernoulli (tubo horizontal, saída em pressão atmosférica), a pressão manométrica no trecho de maior diâmetro é de 67,5 kPa.
Com base nessa situação hipotética, julgue os itens a seguir, e, se necessário, utilize massa específica da água igual a 103 kg/m3.
Pela equação de Bernoulli (tubo horizontal, saída em pressão atmosférica), a pressão manométrica no trecho de maior diâmetro é de 67,5 kPa.
Provas
Questão presente nas seguintes provas
Durante uma aula prática de física, o professor mostrou
como a água que passa por um cano obedece a leis como
a equação da continuidade, que garante que a vazão
é a mesma em qualquer trecho do tubo, e a equação
de Bernoulli, que relaciona velocidade e pressão em
escoamentos. Considere-se que no experimento, a água
escoa por um cano horizontal e sai para a atmosfera com velocidade de v1 = 12 m/s O diâmetro de saída é d1 = 3,0 cm, enquanto o diâmetro do trecho mais largo, é de
d2 = 6,0 cm como mostrado na figura a seguir. Ressalta-se
que a figura não está em escala.
Com base nessa situação hipotética, julgue os itens a seguir, e, se necessário, utilize massa específica da água igual a 103 kg/m3.
Suponha-se que, como a área da seção esquerda é quatro vezes maior que a área da saída, a velocidade nesse trecho é quatro vezes menor. Nesse caso, é correto afirmar que resultará em v2 = 3,0 m/s .
Com base nessa situação hipotética, julgue os itens a seguir, e, se necessário, utilize massa específica da água igual a 103 kg/m3.
Suponha-se que, como a área da seção esquerda é quatro vezes maior que a área da saída, a velocidade nesse trecho é quatro vezes menor. Nesse caso, é correto afirmar que resultará em v2 = 3,0 m/s .
Provas
Questão presente nas seguintes provas
Em uma aula de física, o professor discutiu situações do dia a dia em que atuam forças em equilíbrio. Na estática dos corpos, sabe-se que um objeto está em equilíbrio quando a resultante das forças e o momento das forças em relação a qualquer ponto são nulos.
Com base nessa situação hipotética, julgue o item seguinte.
Suponha-se que um corpo de 10 kg apoiado sobre uma mesa esteja em equilíbrio estático. Nesse caso, é correto afirmar que a força normal da mesa é maior que o peso do corpo, já que precisa segurar o objeto contra a ação da gravidade.
Com base nessa situação hipotética, julgue o item seguinte.
Suponha-se que um corpo de 10 kg apoiado sobre uma mesa esteja em equilíbrio estático. Nesse caso, é correto afirmar que a força normal da mesa é maior que o peso do corpo, já que precisa segurar o objeto contra a ação da gravidade.
Provas
Questão presente nas seguintes provas
Em uma aula de física, o professor discutiu situações do dia
a dia em que atuam forças em equilíbrio. Na estática dos
corpos, sabe-se que um objeto está em equilíbrio quando a
resultante das forças e o momento das forças em relação a
qualquer ponto são nulos.
Com base nessa situação hipotética, julgue o item seguinte.
Suponha-se que uma escada homogênea de 20 kg esteja apoiada no chão e encostada em uma parede lisa (sem atrito). Nesse caso, é correto afirmar que se a escada permanece em equilíbrio, é porque a força normal do chão e a força normal da parede, juntamente com o peso da escada, obedecem às condições de equilíbrio estático.
Com base nessa situação hipotética, julgue o item seguinte.
Suponha-se que uma escada homogênea de 20 kg esteja apoiada no chão e encostada em uma parede lisa (sem atrito). Nesse caso, é correto afirmar que se a escada permanece em equilíbrio, é porque a força normal do chão e a força normal da parede, juntamente com o peso da escada, obedecem às condições de equilíbrio estático.
Provas
Questão presente nas seguintes provas
Considerando a gravitação universal e que o raio médio da Terra seja de, aproximadamente, 6.400 km, julgue o item a seguir.
Suponha-se que, um satélite seja colocado em uma órbita elíptica em torno da Terra, de forma que o ponto mais distante da superfície terrestre esteja a 400 km e o ponto mais próximo está a 200 km. Nesse caso, é correto afirmar que o semieixo maior da órbita é de 6.700 km.
Suponha-se que, um satélite seja colocado em uma órbita elíptica em torno da Terra, de forma que o ponto mais distante da superfície terrestre esteja a 400 km e o ponto mais próximo está a 200 km. Nesse caso, é correto afirmar que o semieixo maior da órbita é de 6.700 km.
Provas
Questão presente nas seguintes provas
Considerando a gravitação universal e que o raio médio da
Terra seja de, aproximadamente, 6.400 km, julgue o item a seguir.
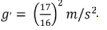
Suponha-se que um satélite de 1.000 kg esteja em órbita circular a uma altura de 400 km da superfície da Terra. Nesse caso, sabendo-se que a aceleração da gravidade na superfície é 10 m/s², é correto afirmar que o valor da aceleração gravitacional, aproximada, nessa altura é expressa por
Suponha-se que um satélite de 1.000 kg esteja em órbita circular a uma altura de 400 km da superfície da Terra. Nesse caso, sabendo-se que a aceleração da gravidade na superfície é 10 m/s², é correto afirmar que o valor da aceleração gravitacional, aproximada, nessa altura é expressa por
Provas
Questão presente nas seguintes provas
- Mecânica ClássicaDinâmicaQuantidade de Movimento, Impulso e ColisõesImpulso e Quantidade de Movimento
Em uma atividade de laboratório de física no ensino médio, o professor propôs o seguinte experimento mental: um carrinho de 6,0 kg desliza sobre uma superfície sem atrito. Em certo instante, ele explode em dois blocos idênticos de 3,0 kg cada. Após a explosão:
• um dos blocos se move para o norte com velocidade de 4,0 m/s; e • o outro bloco se move a 90° ao leste (direção leste) com velocidade de 3,0 m/s.
Com base nessa situação hipotética e sabendo-se que a quantidade de movimento total se conserva, julgue o item seguinte.
O módulo da quantidade de movimento total após a explosão é igual a
Nesse caso, é
correto afirmar que a velocidade escalar do carrinho
antes da explosão é de 2,5 m/s.
• um dos blocos se move para o norte com velocidade de 4,0 m/s; e • o outro bloco se move a 90° ao leste (direção leste) com velocidade de 3,0 m/s.
Com base nessa situação hipotética e sabendo-se que a quantidade de movimento total se conserva, julgue o item seguinte.
O módulo da quantidade de movimento total após a explosão é igual a
Provas
Questão presente nas seguintes provas
Cadernos
Caderno Container