Foram encontradas 30 questões.
De acordo com a Resolução CNNPA nº 38/77,
fermento químico é o produto formado de
substância ou mistura de substâncias químicas
que, pela influência do calor e/ou umidade,
produz desprendimento gasoso capaz de
expandir massas elaboradas com farinhas,
amidos ou féculas, aumentando-lhes o volume
e a porosidade.
(ANVISA, 1977).
O Regulamento Técnico SVS/MS nº 540/1997 considera o fermento químico como um aditivo, e como tal, necessita obrigatoriamente ser registrado na ANVISA de acordo com as orientações da Resolução nº 23 (ANVISA, 2000).
Basicamente, os fermentos químicos são constituídos de uma mistura de pirofosfato ácido de sódio, bicarbonato de sódio e fécula de mandioca. Além do conhecido bicarbonato de sódio, assinale a alternativa que apresente alguns ácidos que podem fazer parte da composição.
O Regulamento Técnico SVS/MS nº 540/1997 considera o fermento químico como um aditivo, e como tal, necessita obrigatoriamente ser registrado na ANVISA de acordo com as orientações da Resolução nº 23 (ANVISA, 2000).
Basicamente, os fermentos químicos são constituídos de uma mistura de pirofosfato ácido de sódio, bicarbonato de sódio e fécula de mandioca. Além do conhecido bicarbonato de sódio, assinale a alternativa que apresente alguns ácidos que podem fazer parte da composição.
Provas
Questão presente nas seguintes provas
A acidez do solo é considerada um dos graves
problemas para a cultura de diversos produtos
agrícolas.
“Apesar dos conceitos básicos de acidez e da capacidade de troca de cátions (CTC) serem bastantes conhecidos, tanto nas regiões de clima temperado como nas regiões de clima tropical, ainda existe muita confusão gerada pelo uso inadequado destes conceitos na solução de problemas ligados à fertilidade do solo”. (CAMARGOS, 2005)
Diante do exposto, analise as afirmativas abaixo.
I. Acidez ativa é dada pela concentração de H + livre na solução do solo, que é liberada pelas substâncias que compõem a acidez potencial e é medida pelo valor de pH, em escala que, para a maioria dos solos do Brasil, varia de 4,0 a 7,5.
II. A acidez ativa é muito fácil de ser corrigida, pois em 1 ha com pH = 4,0, com 25% de água, precisa apenas de 2,5 kg de CaCO 3 para ser corrigido. Porém, à medida que se neutraliza o H + em solução, as substâncias que compõem a acidez potencial passam a liberar mais H + que tende a manter, ao final de reações no solo, altos índices de acidez ativa.
Assinale a alternativa correta.
“Apesar dos conceitos básicos de acidez e da capacidade de troca de cátions (CTC) serem bastantes conhecidos, tanto nas regiões de clima temperado como nas regiões de clima tropical, ainda existe muita confusão gerada pelo uso inadequado destes conceitos na solução de problemas ligados à fertilidade do solo”. (CAMARGOS, 2005)
Diante do exposto, analise as afirmativas abaixo.
I. Acidez ativa é dada pela concentração de H + livre na solução do solo, que é liberada pelas substâncias que compõem a acidez potencial e é medida pelo valor de pH, em escala que, para a maioria dos solos do Brasil, varia de 4,0 a 7,5.
II. A acidez ativa é muito fácil de ser corrigida, pois em 1 ha com pH = 4,0, com 25% de água, precisa apenas de 2,5 kg de CaCO 3 para ser corrigido. Porém, à medida que se neutraliza o H + em solução, as substâncias que compõem a acidez potencial passam a liberar mais H + que tende a manter, ao final de reações no solo, altos índices de acidez ativa.
Assinale a alternativa correta.
Provas
Questão presente nas seguintes provas
- FundamentosLigações Químicas
- FundamentosPropriedades das Substâncias
- Química OrgânicaPropriedades Físicas dos Compostos Orgânicos
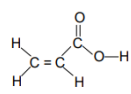
Em relação às ligações químicas e aos
compostos orgânicos (funções orgânicas)
analise as afirmativas abaixo.
I. As ligações químicas nos compostos orgânicos podem ser do tipo s ou p . A ligação s é formada pela interação de dois orbitais atômicos, segundo o eixo que une os dois átomos, ao passo que na ligação p , a interação dos orbitais atômicos se faz segundo o plano que contém o eixo da ligação.
II Neste composto orgânico podemos encontrar 2 ligações s e 6 ligações p .
III. Neste composto orgânico podemos encontrar 3 ligações s e 6 ligações p .
Estão corretas as afirmativas:
I. As ligações químicas nos compostos orgânicos podem ser do tipo s ou p . A ligação s é formada pela interação de dois orbitais atômicos, segundo o eixo que une os dois átomos, ao passo que na ligação p , a interação dos orbitais atômicos se faz segundo o plano que contém o eixo da ligação.
II Neste composto orgânico podemos encontrar 2 ligações s e 6 ligações p .
III. Neste composto orgânico podemos encontrar 3 ligações s e 6 ligações p .
Estão corretas as afirmativas:
Provas
Questão presente nas seguintes provas
A respeito das Pontes de hidrogênio, analise as
afirmativas abaixo e dê valores Verdadeiro (V)
ou Falso (F).
( ) É um tipo particular de ligação entre moléculas que possuem átomos de hidrogênio ligados a átomos de flúor, oxigênio ou nitrogênio.
( ) Nas pontes de hidrogênio, os elementos são muito eletronegativos e possuem pequenos raios atômicos, neste caso, fazendo com que o par de elétrons fique muito atraído pelo elemento mais eletronegativo, gerando dipolos (+) e (-) bastante intensos.
( ) As moléculas H 2 O ; NH 3 ; HF são exemplos de ligações com formação de pontes de hidrogênio.
Assinale a alternativa que apresenta a sequência correta de cima para baixo .
( ) É um tipo particular de ligação entre moléculas que possuem átomos de hidrogênio ligados a átomos de flúor, oxigênio ou nitrogênio.
( ) Nas pontes de hidrogênio, os elementos são muito eletronegativos e possuem pequenos raios atômicos, neste caso, fazendo com que o par de elétrons fique muito atraído pelo elemento mais eletronegativo, gerando dipolos (+) e (-) bastante intensos.
( ) As moléculas H 2 O ; NH 3 ; HF são exemplos de ligações com formação de pontes de hidrogênio.
Assinale a alternativa que apresenta a sequência correta de cima para baixo .
Provas
Questão presente nas seguintes provas
- FundamentosPropriedades das Substâncias
- Química InorgânicaGeometria Molecular, Polaridade e Forças Intermoleculares
Analise as proposições a seguir:
I. Sabemos que as moléculas polares são aquelas que têm regiões ou polos de carga elétricas diferentes. Isto pode ser explicado pela diferença de eletronegatividade entre os ligantes. Costuma-se afirmar que as moléculas assimétricas são polares e que as moléculas simétricas são apolares, quando se refere justamente a de densidade eletrônica.
PORQUE
II. Elementos diferentes têm, geralmente, eletronegatividades diferentes, com isso, haverá regiões de densidades eletrônicas diferentes que não serão compensadas umas pelas outras.
Assinale a alternativa correta.
I. Sabemos que as moléculas polares são aquelas que têm regiões ou polos de carga elétricas diferentes. Isto pode ser explicado pela diferença de eletronegatividade entre os ligantes. Costuma-se afirmar que as moléculas assimétricas são polares e que as moléculas simétricas são apolares, quando se refere justamente a de densidade eletrônica.
PORQUE
II. Elementos diferentes têm, geralmente, eletronegatividades diferentes, com isso, haverá regiões de densidades eletrônicas diferentes que não serão compensadas umas pelas outras.
Assinale a alternativa correta.
Provas
Questão presente nas seguintes provas
“Existem cerca de 17 elementos inorgânicos
requeridos pelos bovinos, dentre eles os
macroelementos incluem cálcio, fósforo,
magnésio, potássio, sódio, cloro e enxofre e os
microelementos, cromo, cobalto, cobre, iodo,
ferro, manganês, molibdênio, níquel, selênio e
zinco. Outros elementos, como o arsênico,
boro, chumbo, silício e vanádio, parecem ser
essenciais para outras espécies animais, mas
não há evidência, até o presente, de que eles
sejam importantes para bovinos”
(https://www.scielo.br)
Em relação aos elementos químicos mencionados anteriormente, analise as afirmativas abaixo. ]
I. Os ametais citados pertencem ao grupo dos calcogênios e ao grupo dos halogênios, possuindo seis e sete elétrons no subnível mais energético respectivamente.
II. Todos os metais citados pertencem ao quarto período da classificação periódica e possuem elétrons distribuídos em quatro camadas eletrônicas.
III. Existem na relação acima dois ametais que apresentam propriedades semelhantes às do oxigênio, pois possuem o mesmo número de elétrons na camada de valência.
IV. Todos os metais citados são elementos de transição e apresentam na camada de valência elétrons distribuídos no subnível d.
Estão corretas as afirmativas:
Em relação aos elementos químicos mencionados anteriormente, analise as afirmativas abaixo. ]
I. Os ametais citados pertencem ao grupo dos calcogênios e ao grupo dos halogênios, possuindo seis e sete elétrons no subnível mais energético respectivamente.
II. Todos os metais citados pertencem ao quarto período da classificação periódica e possuem elétrons distribuídos em quatro camadas eletrônicas.
III. Existem na relação acima dois ametais que apresentam propriedades semelhantes às do oxigênio, pois possuem o mesmo número de elétrons na camada de valência.
IV. Todos os metais citados são elementos de transição e apresentam na camada de valência elétrons distribuídos no subnível d.
Estão corretas as afirmativas:
Provas
Questão presente nas seguintes provas
Entre os motivos para entendermos como os
compostos se ligam está a capacidade de
explicar as propriedades físicas, químicas e
mecânicas dos materiais. Estas informações
são necessárias para a formulação de novos
materiais. Desta forma, as propriedades
exibidas por certo materiais podem ser
explicadas pelo tipo de ligação química. Analise
as afirmativas abaixo sobre as propriedades
que podem indicar uma ligação de natureza
iônica.
I. Alta temperatura de fusão e ebulição.
II. Boa condutividade elétrica em solução aquosa.
III. Mau condutor de eletricidade no estado sólido.
IV. Com exceção do grafite, não conduzem corrente elétrica, se encontrados puros.
Estão corretas as afirmativas:
I. Alta temperatura de fusão e ebulição.
II. Boa condutividade elétrica em solução aquosa.
III. Mau condutor de eletricidade no estado sólido.
IV. Com exceção do grafite, não conduzem corrente elétrica, se encontrados puros.
Estão corretas as afirmativas:
Provas
Questão presente nas seguintes provas
Os pegmatitos graníticos contêm feldspato,
quartzo e mica, como os componentes
principais, e uma variedade de elementos
acessórios, como, por exemplo, o lítio e o
berílio. O lítio e o berílio são metais
pertencentes aos grupos dos metais alcalinos e
metais alcalinos terrosos respectivamente. O
lítio é considerado um metal leve e também um
dos mais eletropositivos dos elementos
metálicos e é bem conhecido por sua utilização
na fabricação de pilhas e baterias. O berílio, por
suas propriedades, apresenta um bom campo
de aplicações industriais. De acordo com a Lei
Periódica, muitas propriedades físicas e
químicas dos elementos variam periodicamente
em função de seus números atômicos. Em
relação à afinidade eletrônica entre os
elementos químicos, assinale a alternativa que
apresenta como podemos explicar o grande
decréscimo na afinidade eletrônica entre o lítio
e o berílio.
Provas
Questão presente nas seguintes provas
No ano de 450 a. C, dois filósofos gregos,
Demócrito de Abdera e Leucipo de Mileno,
imaginaram que, se dividíssemos em tamanhos
cada vez menores um corpo qualquer,
chegariam em um ponto que esta divisão seria
impossível de continuar. Naquele período, isto
se tratava apenas de um pensamento filosófico
sem bases experimentais. Na história da
evolução dos modelos atômicos, muitos
experimentos foram necessários para
chegarmos ao modelo atual. Sobre alguns dos
modelos atômicos que foram elaborados ao
longo da história da construção da estrutura
atômica, analise as afirmativas abaixo e dê
valores Verdadeiro (V) ou Falso (F).
( ) Sommerfeld propõe que a energia do elétron seria determinada pela distância em que ele se encontra do núcleo e pelo tipo de órbita que descreve.
( ) Hantaro Nagaoka, em 1903, sugeriu um modelo atômico formado por pares de cargas positivas e negativas, aos quais chamou de “dinamidas”. E estes pares de cargas ficariam em blocos flutuantes no espaço.
( ) Em 1904, Philipp Lénard publicou no Japão uma descrição do carbono, bem moderna para época, ele sugeriu que o átomo era constituído de um anel de elétrons ao redor de um centro muito denso.
Assinale a alternativa que apresenta a sequência correta de cima para baixo.
( ) Sommerfeld propõe que a energia do elétron seria determinada pela distância em que ele se encontra do núcleo e pelo tipo de órbita que descreve.
( ) Hantaro Nagaoka, em 1903, sugeriu um modelo atômico formado por pares de cargas positivas e negativas, aos quais chamou de “dinamidas”. E estes pares de cargas ficariam em blocos flutuantes no espaço.
( ) Em 1904, Philipp Lénard publicou no Japão uma descrição do carbono, bem moderna para época, ele sugeriu que o átomo era constituído de um anel de elétrons ao redor de um centro muito denso.
Assinale a alternativa que apresenta a sequência correta de cima para baixo.
Provas
Questão presente nas seguintes provas
O século XX nos trouxe grandes descobertas
sobre o conhecimento atômico. Neste período,
foram criadas bombas atômicas. Foi também
neste século que através da energia nuclear foi
gerada a eletricidade e ainda, nesta época, foi
estruturado um modelo de átomo que ainda é a
base da teoria atômica moderna. Sem dúvida,
quanto mais o homem avança no conhecimento
do mundo subatômico, mais o avanço
tecnológico se torna uma realidade.
Historicamente, porém, até chegarmos ao que
hoje conhecemos por modelo atômico atual,
muitos estudos e pesquisas foram realizados
ao longo de séculos. Foi, no entanto, no final do
século XIX, que alguns experimentos
contribuíram de forma significativa para a
evolução do modelo atômico. Diante do
exposto, analise as afirmativas abaixo.
I. O físico inglês J. J. Thomson, em 1887, mostrou que as partículas em raio catódico são carregadas negativamente e ele provou esta afirmação mostrando que o raio pode ser desviado se passar entre placas de metais carregados opostamente em um tudo de Crookes. Segundo suas pesquisas, a direção do desvio para a placa carregada positivamente, mostra que as partículas do raio catódico carregam uma carga elétrica negativa.
II. Segundo os pesquisadores dos modelos atômicos, foi no ano de 1908, que Robert Millikan, um físico americano realizou, um clássico experimento, que foi capaz de determinar a magnitude da carga negativa do elétron. Millikan acreditava que os raios x chocavam-se com os elétrons das moléculas do ar que circundavam as gotículas de óleo e que as gotículas poderiam captar estes elétrons. Através de seus experimentos, Milikan foi assim capaz de mostrar que todos os elétrons são idênticos, isto é, todos têm a mesma massa e carga.
III. Embora para a maioria dos cientistas da época o fato do átomo ser constituído por uma parte carregada positivamente e por alguns elétrons, em 1890, isto ainda não era totalmente claro. Em 1898, que J. J. Thomson sugeriu que um átomo poderia ser uma esfera carregada positivamente na qual alguns elétrons estão incrustados. Segundo ele, isto levaria a uma impossível remoção de elétrons dos átomos.
Estão corretas as afirmativas:
I. O físico inglês J. J. Thomson, em 1887, mostrou que as partículas em raio catódico são carregadas negativamente e ele provou esta afirmação mostrando que o raio pode ser desviado se passar entre placas de metais carregados opostamente em um tudo de Crookes. Segundo suas pesquisas, a direção do desvio para a placa carregada positivamente, mostra que as partículas do raio catódico carregam uma carga elétrica negativa.
II. Segundo os pesquisadores dos modelos atômicos, foi no ano de 1908, que Robert Millikan, um físico americano realizou, um clássico experimento, que foi capaz de determinar a magnitude da carga negativa do elétron. Millikan acreditava que os raios x chocavam-se com os elétrons das moléculas do ar que circundavam as gotículas de óleo e que as gotículas poderiam captar estes elétrons. Através de seus experimentos, Milikan foi assim capaz de mostrar que todos os elétrons são idênticos, isto é, todos têm a mesma massa e carga.
III. Embora para a maioria dos cientistas da época o fato do átomo ser constituído por uma parte carregada positivamente e por alguns elétrons, em 1890, isto ainda não era totalmente claro. Em 1898, que J. J. Thomson sugeriu que um átomo poderia ser uma esfera carregada positivamente na qual alguns elétrons estão incrustados. Segundo ele, isto levaria a uma impossível remoção de elétrons dos átomos.
Estão corretas as afirmativas:
Provas
Questão presente nas seguintes provas
Cadernos
Caderno Container