Foram encontradas 31 questões.
O proprietário de um imenso terreno resolveu cercar seu terreno com tapumes coloridos. Considerando-se que ele dispunha de 153 tapumes amarelos e 287 tapumes azuis e considerando-se, ainda, que os tapumes amarelos mediam 3 metros de largura e os tapumes azuis mediam 2 metros de largura, calcule a extensão total do terreno que poderá ser cercada.
Provas
Uma empresa aérea que presta serviços de helicóptero transporta 2 passageiros por viagem. Sabe-se que essa empresa aérea realiza sete viagens por dia de segunda a sexta-feira e oito viagens por dia aos sábados e domingos. Considere o mês de janeiro que inicia em uma segunda feira e calcule o total de passageiros transportados até a última viagem do dia 31. Considere também que cada passageiro fez uso da companhia aérea somente uma vez.
Provas
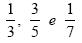
Observe as frações abaixo.

Provas
Um terreno tem por dimensões: 15,40m de comprimento X 5,90m de largura. Assinale a alternativa abaixo que representa corretamente esta mesma medida considerando-a apenas em centímetros.
Provas
Elza foi comprar material escolar para seu filho. Na relação que a professora preparou constava:
- 08 cadernos ao custo de R$ 20,00 cada;
- 05 livros, cujos custos eram: R$ 34,00, R$ 23,50; R$ 18,00; R$ 41,30 e R$ 27,50;
- 01 caixa de lápis de cor, que custava R$8,70.
Elza resolveu parcelar o pagamento de sua compra, pagando 1/2 na entrada e o restante em duas parcelas iguais. Qual foi o valor total a ser pago e o valor da entrada, respectivamente?
Provas
Resolvendo-se a expressão numérica abaixo, obtém-se o seguinte resultado:
(36 + 240 X 27) / 6
Provas
3/4 - 1/4=
Provas
Comprei seis quilos e meio de farinha de trigo. Cada pacote tem meio quilo. Quantos pacotes de farinha de trigo eu comprei?
Provas
Preencha as lacunas e assinale a alternativa correta.
"Estarei encaminhando __________________ aos documentos várias fotografias para enriquecer o trabalho. As recepcionistas estarão presentes. Elas ______________ darão um destaque especial à nossa proposta. Queremos bem ____________ nossa opinião e nossos argumentos".
Provas
Assinale a alternativa INCORRETA quanto à concordância entre o adjetivo e o substantivo.
Provas
Caderno Container