Foram encontradas 50 questões.
- Protocolos e ServiçosAutenticação e SegurançaTLS: Transport Layer Security
- Protocolos e ServiçosInternet e EmailHTTPS: Hyper Text Transfer Protocol Secure
Provas
A respeito da interação de radiação com tecidos biológicos, avalie se as afirmativas a seguir são falsas (F) ou verdadeiras (V).
I. Quanto maior o poder de ionização da radiação, menor é sua penetração.
II. O efeito estocástico produzido pela radiação é sempre menor quando administrada em doses fracionadas do que em dose única.
III. Por serem carregadas e pesadas, as partículas alfa têm muito pouco poder penetrante, fazendo com que causem menos danos por unidade de dose absorvida do que radiações mais penetrantes.
IV. Os fótons interagem muito com a matéria, fazendo com que radiação gama seja muito pouco penetrante.
As afirmativas são respectivamente:
Provas
Até 1989 eram utilizados no Brasil para-raios contendo Am-241 para gerar íons no bastão. Acreditava-se que o bastão ionizado aumentaria o diâmetro da região protegida pelo para-raios.
Para fins de transporte, deve ser considerado radioativo qualquer material que apresente atividade específica superior a 74 kBq/g. Para estudar a necessidade de transporte especial de para-raios antigos removidos, mediu-se por um minuto a quantidade de radiação emitida por três amostras, conforme mostrado na tabela a seguir.

Assim, necessita(m) de transporte especial:
Provas
Provas
Considere as seguintes afirmativas sobre alguns conceitos fundamentais em cálculos de dosimetria:
I. Para uma dada energia absorvida, a dose absorvida varia proporcionalmente à massa do material atingido.
II. A dose equivalente efetiva é obtida ao somarmos as doses equivalentes nos órgãos ou tecidos.
III. A dose absorvida comprometida é obtida ao integrarmos a dose absorvida por unidade de área ao longo da superfície de um tecido.
Assinale a alternativa correta.
Provas
Uma fonte 60Co pontual de raios gama emite um número igual de fótons de 1,17 MeV e de 1,33 MeV e gera uma densidade de fluxo de energia de 720 J/(m2 .min) em um determinado alvo. A densidade de fluxo de fótons em unidades de número de fótons/(cm2 .s) é aproximadamente de:
[Aproxime a carga elementar por e = 1,6x109 ]
Provas
Provas
Provas
Provas
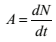
A atividade de um material radioativo é dada matematicamente por

onde N é o número de núcleos radioativos contidos na amostra e t é o tempo transcorrido. Sabe-se que pode ser aproximado ao longo de um dia pela expressão N(t)=α.t+b, onde α e β são constantes que devem ser determinadas fenomenologicamente. Com essa aproximação, avalie se, ao longo de um dia, a atividade diminui, aumenta ou permanece constante. Nesse caso, é correto afirmar que:
Provas
Caderno Container