Foram encontradas 100 questões.

Considerando a janela do navegador Internet Explorer 6 (IE6) e os conceitos de Internet, julgue os itens de 57 a 64.
A função principal do IE6 é enviar e receber correio eletrônico.
Provas

Considerando a janela do navegador Internet Explorer 6 (IE6) e os conceitos de Internet, julgue os itens de 57 a 64.
A Internet é uma rede composta por milhares de computadores situados em diversas partes do mundo.
Provas

Considerando a figura acima, que mostra uma janela do aplicativo Outlook Express, julgue os itens seguintes.
Provas

Considerando a janela do navegador Internet Explorer 6 (IE6) e os conceitos de Internet, julgue os itens de 57 a 64.
Na figura acima, a página não foi exibida possivelmente
porque o endereço digitado se refere a um endereço de
e-mail e não de página de Internet.
Provas

A figura acima mostra uma janela do Windows Explorer, executada em um computador cujo sistema operacional é o Windows XP. Com relação a essa figura, julgue os itens a seguir.
O Windows Explorer é um programa editor de textos que permite editar, formatar e atualizar textos.
Provas
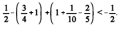
Julgue os itens seguintes, relacionados a expressões algébricas.

Provas
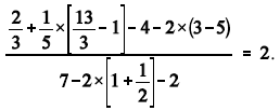
Julgue os itens seguintes, relacionados a expressões algébricas.

Provas
Um motorista, após ter enchido o tanque de seu veículo, gastou
da capacidade do tanque para chegar à cidade A; gastou mais 28 L para ir da cidade A até a cidade B; sobrou, no tanque, uma quantidade de combustível que corresponde a
de sua capacidade. Com base nessas informações, julgue os itens a seguir.
Quando o veículo chegou à cidade B, havia, no tanque menos de 21 L de combustível.
Provas
Um motorista, após ter enchido o tanque de seu veículo, gastou
da capacidade do tanque para chegar à cidade A; gastou mais 28 L para ir da cidade A até a cidade B; sobrou, no tanque, uma quantidade de combustível que corresponde a
de sua capacidade. Com base nessas informações, julgue os itens a seguir.
O veículo gastou mais de 15 L para chegar à cidade A.
Provas
Os preços de café e açúcar, por quilograma, nos armazéns A e B são mostrados na tabela abaixo.

Com relação a essa tabela, julgue os itens subseqüentes.
Suponha que um indivíduo, ao comprar 10 kg de café e 4 kg de açúcar no armazém A, pagou as compras com 2 notas de R$ 50,00 tendo recebido de troco uma nota de R$ 2,00 e o restante em notas de R$ 5,00. Nessa situação, é correto afirmar que esse indivíduo recebeu menos de 7 notas de R$ 5,00.
Provas
Caderno Container