Foram encontradas 50 questões.
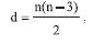
, em que d é o número de diagonais do polígono e n é o número de lados desse polígono. Considere as afirmações:
I. Um polígono de 8 lados tem 20 diagonais.
II. Um polígono com 25 diagonais tem 12 lados.
III. Não existe polígono que tenha exatamente 30 diagonais.
É correto o contido apenas em
Provas
Um quadrado foi dividido em 3 retângulos, conforme ilustração:

Provas
Na planilha de finanças, Isabel fez algumas simulações para saber quanto receberia ao aplicar um capital de R$ 9.600,00 a uma taxa de 30% ao ano.
Nessas condições, ela observou que renderia, em juros simples, R$ 1.920,00. Isso significa que o tempo da aplicação simulada, em meses, foi igual aProvas
Um fabricante de biscoitos vende um mesmo tipo de biscoito em duas embalagens: uma de 200 gramas e outra de 520 gramas. A embalagem menor é vendida por R$ 1,20.
Para que a embalagem maior seja mais econômica que a menor, seu preço deverá ser, no máximo, igual aProvas
Em uma reportagem a respeito da escassez de água doce no mundo, foram encontrados os seguintes dados a respeito da distribuição de água no mundo por continente. Compare com a distribuição da população mundial, também por continente.

Segundo esses números, pode-se afirmar que
Provas
Considere a manchete jornalística abaixo, para responder às questões de números 24 e 25.
Dose pra cachorro
Remédios de gente agora também são usados para melhorar a vida dos animais.
(Veja, 09.05.2007)
Assinale a alternativa com frase na voz passiva.
Provas
Considere a manchete jornalística abaixo, para responder às questões de números 24 e 25.
Dose pra cachorro
Remédios de gente agora também são usados para melhorar a vida dos animais.
(Veja, 09.05.2007)
Confrontando-se a frase – O trânsito de São Paulo é dose pra cachorro. – com a manchete acima, pode- se afirmar que
Provas
Para responder às questões de números 21 a 23, leia os textos de cartas de leitores, publicadas em O Estado de S.Paulo, de 03.08.2007.

Assinale a alternativa correta quanto à pontuação.
Provas
Para responder às questões de números 21 a 23, leia os textos de cartas de leitores, publicadas em O Estado de S.Paulo, de 03.08.2007.

De acordo com a norma culta, assinale a alternativa em que o pronome pessoal substitui corretamente a expressão em destaque: Até quando nós, contribuintes, teremos de agüentar esse caos?
Provas
Para responder às questões de números 21 a 23, leia os textos de cartas de leitores, publicadas em O Estado de S.Paulo, de 03.08.2007.

Assinale a alternativa em que o par de frases apresenta sentido figurado.
Provas
Caderno Container