Foram encontradas 50 questões.
O transporte de combustíveis por tubulações extensas é governado por fenômenos físicos de contato entre as partículas do fluido. A viscosidade quantifica a facilidade com que esse fluido escoa. A partir da análise dimensional sabe-se que a viscosidade dinâmica é definida por FL-2T, onde F, L e T correspondem a unidades de força, comprimento e tempo, respectivamente. Nesse sentido a relação adimensional para a viscosidade cinemática é igual a
Provas
Questão presente nas seguintes provas
Sistemas de bombeamento podem ser aplicados para elevar a pressão e transportar fluidos de um lugar para outro. Considerando a instalação de bombeamento ilustrada a seguir, assinale a alternativa que melhor indica a válvula de retenção que compõe a linha de recalque abaixo.

Provas
Questão presente nas seguintes provas
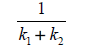
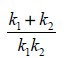
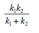
Estruturas sob condições dinâmicas de operação podem ser
investigadas a partir de modelagens numéricas que fazem uso
de procedimentos de discretização. Assinale a alternativa
correspondente à rigidez equivalente de um sistema montado
com duas molas em série com rigidez k1 e k2,
respectivamente.
Provas
Questão presente nas seguintes provas
A corrosão é um ataque eletroquímico destrutivo que
geralmente se inicia na superfície do material. Tubulações
industriais devem ser projetadas a fim de mitigar a ação
dessa intempérie. Uma das formas de corrosão se dá de
forma muito localizada a partir da formação de pequenos
buracos que penetram para dentro do material.
Assinale a alternativa a que se refere o exemplo dado.
Provas
Questão presente nas seguintes provas
Boa parte dos sistemas mecânicos está sujeita a carregamentos que variam ao longo do tempo. Essa condição de funcionamento pode culminar em falhas progressivas, irreversíveis e localizadas, denominadas de fadiga. Sabe-se também que componentes com descontinuidades geométricas estão sujeitos ao fenômeno de concentração de tensões. Com base nesse tema, qual é o limite de resistência à fadiga de um componente sem entalhe, sabendo que o fator de concentração de tensão em fadiga, Kf, vale 3 e o limite de resistência à fadiga de um componente entalhado fabricado do mesmo material é 150 MPa?
Provas
Questão presente nas seguintes provas
Um vaso de pressão esférico é usado para armazenar gás
propano a 200 KPa de pressão interna. Sabendo que o
diâmetro externo, d, é de 2 m e que a espessura da parede é
igual a d/4000, qual é a tensão de cisalhamento máxima
absoluta, em MPa?
Provas
Questão presente nas seguintes provas
Um sistema mecânico de transporte vertical está apoiado em
uma viga estaticamente determinada. O estado plano de
tensões em determinado ponto dessa viga está representado
por um carregamento de tração na direção y de 100 MPa, um
esforço cisalhante de 50 MPa e uma solicitação compressiva
na direção x de 20 MPa. Para essa configuração, a máxima
tensão principal no plano em questão é igual a
Provas
Questão presente nas seguintes provas
Sistemas de refrigeração tipicamente são compostos por
evaporadores, compressores, condensadores e componentes
de expansão. Desconsiderando eventuais perdas de
rendimento, um compressor eleva a pressão do fluido
isentropicamente. Sobre esse tema, assinale a alternativa que
corresponde a uma máquina térmica que efetua o processo de
compressão de maneira contínua e apresenta impelidor e
difusor.
Provas
Questão presente nas seguintes provas
Determinada aplicação mecânica apresenta uma bomba que deve aumentar a pressão de um fluido com vazão de 0,001 m3/s. Assinale a alternativa que apresenta a potência elétrica, em kW, exigida pela bomba, sabendo-se que sua eficiência é de 80%, que a energia transferida para o fluido por unidade de peso é de 16 m e que o peso específico do fluido é de 105 N/m3.
Provas
Questão presente nas seguintes provas
Tubulações hidráulicas estão presentes em diversos projetos
mecânicos. Dada aplicação possui uma tubulação com dois
trechos distintos e consecutivos. O projeto fixou uma
velocidade V, considerando uma vazão Q e um diâmetro D
para o primeiro trecho. Sabe-se que, por limitações de
projeto, a velocidade do fluido no segundo trecho não pode
se alterar. O valor aproximado do diâmetro do segundo
trecho, d, sabendo-se que a vazão é duplicada, é igual a
Provas
Questão presente nas seguintes provas
Cadernos
Caderno Container