Foram encontradas 120 questões.

Provas
Questão presente nas seguintes provas

Provas
Questão presente nas seguintes provas

Provas
Questão presente nas seguintes provas
Acerca de codificação e compressão de sinais, julgue os seguintes itens.
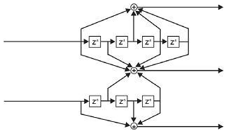
Considere que a figura abaixo represente um codificador convolucional binário, em que z significa um atraso discreto. Nesse caso, o código é não recursivo, não sistemático, com taxa R = 2⁄3 e pode ser decodificado por meio de um decodificador de Viterbi com treliça de 128 estados.
Provas
Questão presente nas seguintes provas
Considerando as legislações profissionais pertinentes ao sistema CONFEA/CREA, julgue os itens subsequentes.
Atividades de vistoria, perícia, avaliação, arbitramento, laudo e parecer técnico referentes a sistemas de comunicação e de telecomunicações são exercidas exclusivamente por engenheiros devidamente habilitados, conforme resolução específica do CONFEA.Provas
Questão presente nas seguintes provas
JJulgue os itens de 59 a 61, relativos a IPV4 e roteamento.
Caso o protocolo de roteamento OSPF esteja habilitado entre dois roteadores ligados por um mesmo link e que aceitam os parâmetros de comunicação do OSPF, esses roteadores passarão a ser vizinhos OSPF (OSPF neighbors).Provas
Questão presente nas seguintes provas
No que se refere à informação transmitida em um sistema de comunicação, julgue os itens seguintes.
A finalidade do projeto de codificador de canal é reduzir o impacto do ruído presente no canal sobre o processo decisório no receptor, bem como reduzir as redundâncias do sinal de transmissão, tal como efetua o codificador de fonte.Provas
Questão presente nas seguintes provas
Considerando que uma rede IP com roteadores, switches e servidores esteja usando o protocolo SNMP v2 e que todos esses elementos tenham sido habilitados e configurados corretamente, julgue os itens subsequentes.
Provas
Questão presente nas seguintes provas
A respeito da implementação de sistemas modernos de comunicação digital, julgue os itens que se seguem.
Os equalizadores com realimentação de decisão têm sido bastante utilizados, em virtude de não propagarem o erro de uma decisão errada e de proporcionarem um ganho significativo em comparação aos equalizadores lineares.Provas
Questão presente nas seguintes provas
No que se refere à informação transmitida em um sistema de comunicação, julgue os itens seguintes.
A quantidade de informação presente em um trecho de uma mensagem é diretamente proporcional à probabilidade de ocorrência do acontecimento descrito na mensagem.Provas
Questão presente nas seguintes provas
Cadernos
Caderno Container