Magna Concursos

Foram encontradas 120 questões.

4059036 Ano: 2026
Disciplina: Estatística
Banca: CESPE / CEBRASPE
Orgão: TELEBRAS
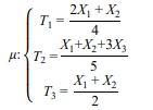
        X1, X2 e X3 denotam cópias independentes e identicamente distribuídas de uma variável aleatória X, com média
µ ∈ (−∞,+∞) e variância σ2 > 0. A seguir, apresentam-se alguns estimadores para o parâmetro µ. 
Enunciado 4527700-1

Com base nas informações precedentes, julgue o item seguinte.

T1 e T2 são estimadores não viesados (ou centrados) para µ.

 

Provas

Questão presente nas seguintes provas
4059035 Ano: 2026
Disciplina: Estatística
Banca: CESPE / CEBRASPE
Orgão: TELEBRAS
        X1, X2 e X3 denotam cópias independentes e identicamente distribuídas de uma variável aleatória X, com média
µ ∈ (−∞,+∞) e variância σ2 > 0. A seguir, apresentam-se alguns estimadores para o parâmetro µ. 
Enunciado 4527699-1

Com base nas informações precedentes, julgue o item seguinte.

Apenas os estimadores T2 e T3 são consistentes para µ.

 

Provas

Questão presente nas seguintes provas
4059034 Ano: 2026
Disciplina: Estatística
Banca: CESPE / CEBRASPE
Orgão: TELEBRAS

Considerando que X1, X2, ..., Xn sejam cópias independentes e identicamente distribuídas de uma variável aleatória X com função de densidade de probabilidade f(x,ϕ), julgue o próximo item.

O estimador dos momentos para o parâmetro ϕ é a quantidade que minimiza a soma dos quadrados dos erros.

 

Provas

Questão presente nas seguintes provas
4059033 Ano: 2026
Disciplina: Estatística
Banca: CESPE / CEBRASPE
Orgão: TELEBRAS

Considerando que X1, X2, ..., Xn sejam cópias independentes e identicamente distribuídas de uma variável aleatória X com função de densidade de probabilidade f(x,ϕ), julgue o próximo item.

Por definição, um estimador para o parâmetro ϕ é qualquer função da amostra observada que assume valores no espaço paramétrico e que não depende do parâmetro que está sendo estimado.

 

Provas

Questão presente nas seguintes provas
4059032 Ano: 2026
Disciplina: Estatística
Banca: CESPE / CEBRASPE
Orgão: TELEBRAS

Considerando que X1, X2, ..., Xn sejam cópias independentes e identicamente distribuídas de uma variável aleatória X com função de densidade de probabilidade \(f(x,ϕ)\), julgue o próximo item.

O estimador de máxima verossimilhança para o parâmetro \(ϕ \) é a quantidade \(\widehat{ϕ}\) que faz que os dados observados sejam mais prováveis (ou plausíveis) de ocorrerem.

 

Provas

Questão presente nas seguintes provas
4059031 Ano: 2026
Disciplina: Estatística
Banca: CESPE / CEBRASPE
Orgão: TELEBRAS

Considerando uma amostra aleatória simples X1 , … , Xn retirada de uma distribuição exponencial com média igual a 2, julgue o seguinte item, a respeito da soma Sn = X1 + … + Xn


A variância de Sn é igual a 2n.

 

Provas

Questão presente nas seguintes provas
4059030 Ano: 2026
Disciplina: Estatística
Banca: CESPE / CEBRASPE
Orgão: TELEBRAS

Considerando uma amostra aleatória simples X1 , … , Xn retirada de uma distribuição exponencial com média igual a 2, julgue o seguinte item, a respeito da soma Sn = X1 + … + Xn


De acordo com a lei fraca dos grandes números, à medida que o tamanho da amostra aumenta, Sn converge em probabilidade para uma distribuição normal.

 

Provas

Questão presente nas seguintes provas
4059029 Ano: 2026
Disciplina: Estatística
Banca: CESPE / CEBRASPE
Orgão: TELEBRAS

Considerando uma amostra aleatória simples X1 , … , Xn retirada de uma distribuição exponencial com média igual a 2, julgue o seguinte item, a respeito da soma Sn = X1 + … + Xn


O teorema central do limite estabelece que Sn−2 / √n converge em distribuição para a distribuição normal padrão, à medida que n tende para o infinito.

 

Provas

Questão presente nas seguintes provas
4059028 Ano: 2026
Disciplina: Estatística
Banca: CESPE / CEBRASPE
Orgão: TELEBRAS

Considerando uma amostra aleatória simples X1 , … , Xn retirada de uma distribuição exponencial com média igual a 2, julgue o seguinte item, a respeito da soma Sn = X1 + … + Xn


Sn segue uma distribuição quiquadrado com 2n graus de liberdade.

 

Provas

Questão presente nas seguintes provas
4059027 Ano: 2026
Disciplina: Estatística
Banca: CESPE / CEBRASPE
Orgão: TELEBRAS

Considerando uma amostra aleatória simples X1 , … , Xn retirada de uma distribuição exponencial com média igual a 2, julgue o seguinte item, a respeito da soma Sn = X1 + … + Xn


Assintoticamente, Sn segue uma distribuição normal.

 

Provas

Questão presente nas seguintes provas