Foram encontradas 80 questões.
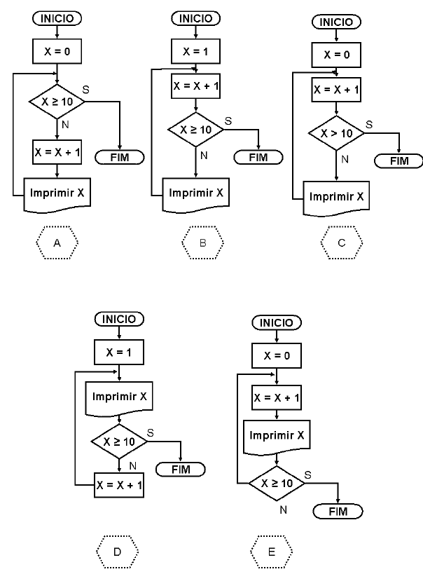
Considere os cinco fluxogramas abaixo, identificados pelas letras A, B, C, D e E, que geram valores da variável
X e imprimem esses valores dentro de uma faixa controlada.

O objetivo dos fluxogramas é imprimir valores de X, na faixa de 1 a 10 (incluindo os limites). Porém um dos fluxogramas imprime valor(es) fora desta faixa. Qual é este fluxograma?

O objetivo dos fluxogramas é imprimir valores de X, na faixa de 1 a 10 (incluindo os limites). Porém um dos fluxogramas imprime valor(es) fora desta faixa. Qual é este fluxograma?
Provas
Questão presente nas seguintes provas
- Paradigmas de ProgramaçãoOrientação a ObjetosDefinição Técnica: Orientação a Objetos
- Paradigmas de ProgramaçãoOrientação a ObjetosOrientação a Objetos: Herança
Na Programação Orientada a Objetos, há vários conceitos que definem as características da metodologia. Dentre
estes conceitos, há o conceito de Herança. Assinale a alternativa INCORRETA sobre o conceito de Herança.
Provas
Questão presente nas seguintes provas
Quanto à especificação de elementos na notação DTD
(Document Type Definition), assinale a alternativa
correta.
Provas
Questão presente nas seguintes provas
Considere a hierarquia de classes abaixo, implementada em JAVA.

Provas
Questão presente nas seguintes provas
- Arquitetura e Design de SoftwareArquitetura em Camadas
- MobileAndroid
- MobileArquitetura de Software Mobile
Acerca da arquitetura da plataforma Android, qual das
afirmações a seguir NÃO está correta?
Provas
Questão presente nas seguintes provas
Quanto à programação para dispositivos móveis, considere
as afirmações abaixo.
I - É possível acessar os diversos sensores disponíveis nos dispositivos móveis por meio de comandos específicos em HTML5. II - Content provider, na plataforma Android, permite às aplicações acessar dados de outras aplicações e também compartilhar seus próprios dados. III- A API de gerência de atividades facilita a programação da interface com os usuários, fornecendo funções de interatividade.
Quais estão corretas?
I - É possível acessar os diversos sensores disponíveis nos dispositivos móveis por meio de comandos específicos em HTML5. II - Content provider, na plataforma Android, permite às aplicações acessar dados de outras aplicações e também compartilhar seus próprios dados. III- A API de gerência de atividades facilita a programação da interface com os usuários, fornecendo funções de interatividade.
Quais estão corretas?
Provas
Questão presente nas seguintes provas
- Paradigmas de ProgramaçãoOrientação a ObjetosDefinição Técnica: Orientação a Objetos
- Paradigmas de ProgramaçãoOrientação a ObjetosOrientação a Objetos: Classes e Objetos
- Paradigmas de ProgramaçãoOrientação a ObjetosOrientação a Objetos: Encapsulamento
- Paradigmas de ProgramaçãoOrientação a ObjetosOrientação a Objetos: Herança
Em relação à programação orientada a objetos, assinale a afirmação correta.
Provas
Questão presente nas seguintes provas
Instrução: Considere o código Java abaixo para responder a questão, supondo que ServicoTributado está
especificada em outro código, acessível por Servico.
1 public class Servico implements ServicoTributado {
2 public String nomeServico;
3 private int codServico;
4 private int valor;
5 public Servico (String nome) { this(nome, 0, 0);}
6 public Servico(String nome, int cod, int valor) {
7 nomeServico = nome;
8 codServico = cod;
9 this.valor = valor;
10 }
11 public double calculaTributo ( int valor) {
12 double tributo;
13 // calcula tributo
13 return tributo;
14 }
15 }
I - A linha de código resulta na declaração de uma variável e na criação de uma instância da classe “servicoL” com a string “Lavagem” no campo “nomeServico” e com os demais valores indefinidos. II - A linha de código resulta na declaração de uma variável com identificador “Lavagem”. III- A linha de código resulta na declaração de uma variável e na criação de uma instância da classe “Servico” com a string “Lavagem” no campo “nomeServico” e com os demais valores zerados.
Quais estão corretas?
Provas
Questão presente nas seguintes provas
Instrução: Considere o código Java abaixo para responder a questão, supondo que ServicoTributado está
especificada em outro código, acessível por Servico.
1 public class Servico implements ServicoTributado {
2 public String nomeServico;
3 private int codServico;
4 private int valor;
5 public Servico (String nome) { this(nome, 0, 0);}
6 public Servico(String nome, int cod, int valor) {
7 nomeServico = nome;
8 codServico = cod;
9 this.valor = valor;
10 }
11 public double calculaTributo ( int valor) {
12 double tributo;
13 // calcula tributo
13 return tributo;
14 }
15 }
... int valorTabelado = 500; Servico servicoL= new Servico (“Lavagem”, 423, valorTabelado); ....
Na linha 9 do código de instrução, “this.valor = valor;” o uso de “this” garante que:
Provas
Questão presente nas seguintes provas
Instrução: Considere o código Java abaixo para responder a questão, supondo que ServicoTributado está
especificada em outro código, acessível por Servico.
1 public class Servico implements ServicoTributado {
2 public String nomeServico;
3 private int codServico;
4 private int valor;
5 public Servico (String nome) { this(nome, 0, 0);}
6 public Servico(String nome, int cod, int valor) {
7 nomeServico = nome;
8 codServico = cod;
9 this.valor = valor;
10 }
11 public double calculaTributo ( int valor) {
12 double tributo;
13 // calcula tributo
13 return tributo;
14 }
15 }

Quanto ao trecho de programa acima e quanto às características da linguagem Java, considere as seguintes afirmações.
I - A classe ServicoTerceirizado é uma subclasse da classe Servico. II - Objetos da classe ServicoTerceirizado herdam todos os atributos da classe Servico. III- Pode-se declarar métodos na classe ServicoTerceirizado com a mesma assinatura de métodos já declarados na classe Servico.
Quais estão corretas?
Provas
Questão presente nas seguintes provas
Cadernos
Caderno Container