Foram encontradas 40 questões.
O conceito de Seguridade Social foi instituído pela
Constituição Federal de 1988 para assegurar direitos. A
Carta Magna apresenta três grandes sistemas de
proteção social, denominados tripé da Seguridade
Social. Quais áreas estão compreendidas nesse
sistema?
Provas
Questão presente nas seguintes provas
O principal representante do Poder Executivo no Brasil
é o
Provas
Questão presente nas seguintes provas
A soma das raízes da equação
4(x2 - 5)- x (x - 2) + 2(4 - x) = 0 é igual a
Provas
Questão presente nas seguintes provas
Uma torneira aberta despeja 150 litros de água, em 33
minutos. Quantos litros de água essa torneira despejará
no tanque se ficar aberta durante 1 hora e 28 minutos?
Provas
Questão presente nas seguintes provas
Qual é o perímetro do quadrilátero cujos lados medem,
respectivamente, 13,8 cm, 7,9 cm, 8,7 cm e 5,3 cm?
Provas
Questão presente nas seguintes provas
Maria emprestou R$ 180,00 e Paulo R$ 120,00 a Pedro.
Como agradecimento, Pedro devolveu um total de
R$ 360,00. Se foi devolvida a quantia
proporcionalmente à quantia emprestada, então a
quantia que Pedro devolveu para Paulo foi de
Provas
Questão presente nas seguintes provas
Gabriela comprou um telefone celular que custava
R$ 850,00 por R$ 799,00. De quantos por cento foi o
desconto obtido?
Provas
Questão presente nas seguintes provas
Fábia e Fernanda ganharam comissões sobre as suas
vendas, sendo que Fernanda recebeu R$ 280,00 a mais
do que Fábia. Quanto as duas, juntas, ganharam de
comissão, se a razão entre as comissões recebidas é
5/7
?
Provas
Questão presente nas seguintes provas
André recebia R$ 2.500,00 de salário e teve um reajuste
de 7,2%. Então o salário de André, após esse reajuste,
é de
Provas
Questão presente nas seguintes provas
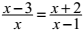
Se x satisfaz a equação
, então o valor
de x é igual a
Provas
Questão presente nas seguintes provas
Cadernos
Caderno Container