Foram encontradas 100 questões.
Pequenas quantidades de noz moscada em pó podem trazer diversos benefícios para a saúde
humana. Substâncias presentes nesse alimento podem atuar protegendo o cérebro e o sistema
digestório, além de auxiliar no funcionamento dos rins e do fígado. Os ácidos graxos importantes para o
metabolismo humano presentes na noz moscada são o mirístico (C14H28O2), o palmítico (C16H32O2), o
oleico (C18H34O2), o láurico (C12H24O2) e o linoleico (C18H32O2). A ordem crescente das temperaturas de
fusão desses ácidos é:
Provas
Questão presente nas seguintes provas
Em 1805, Luigi Brugnatelli inventou a galvanoplastia, realizando a eletrodeposição de ouro. Atualmente,
esse processo é utilizado para transformar bijuterias feitas com materiais baratos em semijoias revestidas
com ouro. Para depositar ouro numa peça, uma corrente de 5A foi aplicada a uma solução aquosa de cloreto
de ouro (III) durante 96,5 minutos. Considerando a massa molar do ouro como 197g mol-1 e a constante de
Faraday 96500C, é correto afirmar que a massa de ouro depositada na peça, em gramas, foi igual a:
Provas
Questão presente nas seguintes provas
A desinfecção da pele de pacientes para procedimentos cirúrgicos pode ser feita com solução
aquosa do gluconato de clorexidina 0,04mol L-1
, que é um antisséptico de massa molar 505g mol-1
,
disponível comercialmente na concentração de 19% m/v, com densidade de 1,06g cm-3
. O volume da
solução comercial (em mL) necessário para preparar 250mL da solução de gluconato de clorexidina com
fins de desinfecção da pele é de aproximadamente:
Provas
Questão presente nas seguintes provas
Em relação às vidrarias utilizadas em ensaios laboratoriais, é correto afirmar que:
Provas
Questão presente nas seguintes provas
Na espectrometria de massas, independentemente do método de introdução da amostra, as
moléculas presentes devem ser transformadas em partículas carregadas pela fonte de ionização antes de
serem analisadas e detectadas. A ionização por eletronebulização (ESI-MS) e a ionização por elétrons
(EI-MS), são as duas das fontes de ionização mais utilizadas na técnica de espectrometria de massas.
Em ambos os tipos de fontes, é correto afirmar que:
Provas
Questão presente nas seguintes provas
Na cromatografia líquida de alta eficiência, há diversos mecanismos que governam as separações
das substâncias mediante a troca da fase estacionária e da fase móvel, sendo possível utilizar cada um
deles com o mesmo equipamento. A classificação da técnica que tem como principal mecanismo de
separação por partição, mas em que também pode ocorrer o mecanismo de adsorção devido à presença
de grupos ativos polares na fase estacionária, é nomeada de cromatografia:
Provas
Questão presente nas seguintes provas
Entre as técnicas cromatográficas existentes, uma delas utiliza um sólido finamente dividido que
funciona como fase estacionária, em que se baseia em um processo de separação físico-química das
substâncias presentes na amostra desse sólido e nas suas volatilidades. Nessa técnica, substâncias com
a mesma capacidade de serem retidas pela fase estacionária podem ser separadas se apresentarem
volatilidades diferentes. A classificação da cromatografia e o processo físico-químico que caracterizam a
técnica descrita correspondem, respectivamente, a:
Provas
Questão presente nas seguintes provas
Na gravimetria por precipitação, o analito é convertido em um precipitado pouco solúvel e, então,
esse precipitado é filtrado, lavado, convertido em um produto de composição conhecida por meio de um
tratamento térmico adequado e pesado. Um exemplo é o método oficial da Associação Oficial de Química
Analítica, em que, a partir do ácido oxálico, H2C2O4, tem-se a precipitação do oxalato de cálcio (CaC2O4).
A espécie química sólida obtida após o processo de calcinação do oxalato de cálcio tem como fórmula:
Provas
Questão presente nas seguintes provas
Na siderurgia, a partir da reação entre óxido de ferro III e monóxido de carbono, são obtidos ferro
metálico e dióxido de carbono. Sabendo-se que as massas molares são Fe = 56g mol-1
, O = 16g mol-1
, C =
12g mol-1
, a massa de dióxido de carbono formada a partir da reação de 320g de óxido de ferro III com
excesso de monóxido de carbono, em gramas, é igual a:
Provas
Questão presente nas seguintes provas
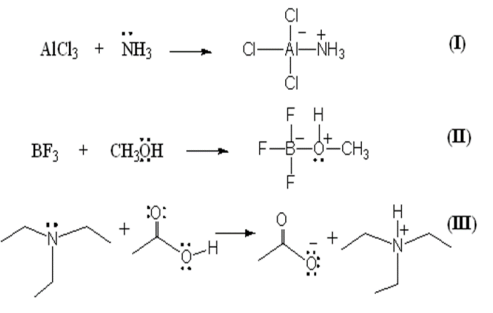
Diversas reações na Química Orgânica são do tipo ácido-base ou envolvem uma reação ácido-base
em alguma etapa. Entre elas, duas são fundamentais na química orgânica: as reações ácido-base de
Bronsted-Lowry e a de Lewis. Nessa perspectiva, observe as reações a seguir:

Analisando as reações, é correto concluir que, na teoria de:

Analisando as reações, é correto concluir que, na teoria de:
Provas
Questão presente nas seguintes provas
Cadernos
Caderno Container