Foram encontradas 65 questões.
Uma câmera digital de 4 megapixels, que grava somente imagens em preto e branco, armazena
um número de 8 bits para representar a intensidade de cada pixel da imagem.
Quantas imagens podem ser armazenadas em um cartão de memória de 512 megabytes ?
Observação: nos sistemas digitais, mega significa 220
Provas
Questão presente nas seguintes provas
Dada a função de transferência
G (s) = 1/ s2+s-12 , podemos afirmar que os polos são:
Provas
Questão presente nas seguintes provas
Sabendo que a relação S/N (sinal-ruído) em decibéis (db) é calculada por 10.log10(S/N), a taxa de
transmissão máxima de um canal (C ) em bits/segundo cuja a largura de banda é 3 kHz e S/N = 30 dB,
será igual a:
Considere, para fins de aproximação, log21001 = 9,9
Provas
Questão presente nas seguintes provas
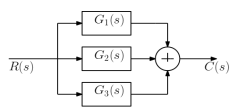
Considere a função de rede abaixo:

É correto afirmar que C(s) pode ser descrita pela expressão:
Provas
Questão presente nas seguintes provas
Considere o circuito abaixo:

A potência entregue pela fonte vg = 10cos(t) será igual a:
Provas
Questão presente nas seguintes provas
Dada a função de rede H (s) = 4s+8 / s2+4s+3, podemos afirmar que a resposta ao impulso (h(t)) será:
Provas
Questão presente nas seguintes provas
Considere uma fonte discreta sem memória com alfabeto-fonte S = [ s0,s1,s2,s3] com as respectivas probabilidades: p0 = 1/8, p1= 1/8, p2= 1/4, p3= 1/2.
A entropia da fonte em bits é:
Provas
Questão presente nas seguintes provas
O maior valor de tensão de um conversor digital-analógico (DAC) de 8 bits, que gera 0,5 V para a
entrada digital 00110010, é igual a:
Provas
Questão presente nas seguintes provas
Dado o circuito RLC em série abaixo, considere que o circuito está em regime permanente em
t = 0.

Podemos afirmar que para t > 0, teremos uma frequência angular amortecida de valor igual a:

Podemos afirmar que para t > 0, teremos uma frequência angular amortecida de valor igual a:
Provas
Questão presente nas seguintes provas
Considere um Flip-Flop JK, com clock ativado em borda de descida (↓) e com duas entradas
assíncronas
Podemos afirmar que quando: J =0 , K = 0, clock =
, a saída Q será :
Provas
Questão presente nas seguintes provas
Cadernos
Caderno Container