Foram encontradas 65 questões.
Em um Data Warehouse o OLAP cria, administra, analisa e gera relatórios sobre dados multidimensionais. Este recurso é:
Provas
No modelo relacional de dados são características ou propriedades de uma tabela, EXCETO que:
Provas
São comandos da Linguagem de Definição de Dados (DDL):
Provas
São características da Cascading Style Sheets (CSS), EXCETO:
Provas
- Paradigmas de ProgramaçãoOrientação a ObjetosOrientação a Objetos: Classes e Objetos
- Paradigmas de ProgramaçãoOrientação a ObjetosOrientação a Objetos: Encapsulamento
- Paradigmas de ProgramaçãoOrientação a ObjetosOrientação a Objetos: Herança
- Paradigmas de ProgramaçãoOrientação a ObjetosOrientação a Objetos: Polimorfismo
Na orientação a objetos, é correto afirmar que:
Provas
- Fundamentos de ProgramaçãoAlgoritmosConstrução de Algoritmos
- Fundamentos de ProgramaçãoAlgoritmosFluxogramas
- Fundamentos de ProgramaçãoPseudocódigo
São instrumentos gráficos ou instrumentos narrativos utilizados para entendimento do algoritmo da lógica de programação:
Provas
- Fundamentos de ProgramaçãoAlgoritmosAlgoritmos de Busca
- Fundamentos de ProgramaçãoAlgoritmosAlgoritmos de Ordenação
- Fundamentos de ProgramaçãoEstruturas de Dados
Dos métodos de pesquisa e ordenação seguintes, aqueles que necessitam de que o vetor esteja previamente ordenado são:
Provas
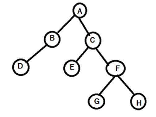
Observe a seguinte figura.

A altura e o grau da árvore representada são, respectivamente:
Provas
Na UML 2.0, são componentes do diagrama de sequência, EXCETO:
Provas
- Fundamentos de ProgramaçãoEstruturas de Repetição
- Fundamentos de ProgramaçãoLógica de Programação
- WebPHP
Na linguagem PHP existe um comando utilizado dentro dos blocos de repetição que ignora o restante das instruções pertencentes ao laço corrente e vai para a próxima iteração iniciando novamente o laço. Este comando é conhecido como:
Provas
Caderno Container