Foram encontradas 50 questões.
- Engenharia de SoftwareDesign Patterns
- Fundamentos de ProgramaçãoInjeção de Dependência e Inversão de Controle
- Paradigmas de ProgramaçãoOrientação a ObjetosAnálise e Projeto Orientado a Objetos
- Paradigmas de ProgramaçãoOrientação a ObjetosOrientação a Objetos: Herança
Qual das alternativas a seguir está
relacionada com um projeto de orientação a
objetos conhecido como “tem-um”?
Provas
Questão presente nas seguintes provas
- Paradigmas de ProgramaçãoOrientação a ObjetosDefinição Técnica: Orientação a Objetos
- Paradigmas de ProgramaçãoOrientação a ObjetosOrientação a Objetos: Abstração
- Paradigmas de ProgramaçãoOrientação a ObjetosOrientação a Objetos: Encapsulamento
- Paradigmas de ProgramaçãoOrientação a ObjetosOrientação a Objetos: Métodos
Na orientação a objetos, ocultar de seus
usuários as tarefas complexas que eles
realizam é uma característica de
Provas
Questão presente nas seguintes provas
- Engenharia de SoftwareDefeitos, Erros e Falhas em Software
- Engenharia de SoftwareModelos de DesenvolvimentoÁgeis
- Qualidade de SoftwareSQA: Garantia da Qualidade de Software
A coleta de dados sobre o software, como
padrões de defeitos descobertos nos
testes, e o uso sistemático desses dados
para avaliação de impacto das mudanças
nos processos e ferramentas de software
acrescentam um custo adicional em sua
produção e isso vai de encontro com os
objetivos das metodologias ágeis, as quais
recomendam a eliminação de processos
que não estão diretamente relacionados à
produção do software. Esse problema está
relacionado à
Provas
Questão presente nas seguintes provas
Uma empresa A possui hoje quatro etapas
de desenvolvimento de software, sendo
estas: levantamento de requisitos, análise
de implementação, programação e testes.
Assinale a alternativa que sugere o modelo
de processo de software que possui etapas
mais aproximadas ao modelo dessa empresa.
Provas
Questão presente nas seguintes provas
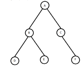
Observando a figura a seguir, que representa uma árvore binária, é correto afirmar que

Provas
Questão presente nas seguintes provas
Analisando o código JAVA a seguir, o que aconteceria ao compilar esse código?
import java.util.*;
public class ProgramaA {
public static void main(String[] args) {
List listaA = new ArrayList();
List listaB = new ArrayList<>();
}
}
Provas
Questão presente nas seguintes provas
- Fundamentos de ProgramaçãoAnálise Assintótica (Notação Big-O)
- Fundamentos de ProgramaçãoComplexidade
Na análise de complexidade de algoritmos, em que o interesse é restrito a valores assintóticos e se
desconsidera as constantes multiplicativas e aditivas, qual é o número de passos a ser considerado
na expressão 2(n2-1) + 10n3?
Provas
Questão presente nas seguintes provas
- Fundamentos de ProgramaçãoEstruturas de Repetição
- Fundamentos de ProgramaçãoLógica de Programação
- Fundamentos de ProgramaçãoPseudocódigo
Nas linguagens de programação, existem diversos tipos de instrução. Analisando o pseudocódigo a
seguir, assinale a alternativa que define o tipo de instrução que realiza sua operação. Pseudocódigo:
“Enquanto houver maçãs podres no cesto, retire-as e jogue fora.”
Provas
Questão presente nas seguintes provas
1008981
Ano: 2016
Disciplina: TI - Organização e Arquitetura dos Computadores
Banca: AOCP
Orgão: UFFS
Disciplina: TI - Organização e Arquitetura dos Computadores
Banca: AOCP
Orgão: UFFS
Provas:
A CPU (Unidade Central de Processamento) é
considerada o cérebro do computador. Uma
das partes da CPU é a unidade de controle.
Qual é a outra parte da CPU e quais são suas
atribuições básicas?
Provas
Questão presente nas seguintes provas
- UniãoExecutivoDecreto 1.171/1994: Código de Ética do Servidor Público Civil do Poder Executivo Federal
Segundo o estabelecido no Código de Ética
dos Servidores (Decreto 1.171/1994), é
vedado ao servidor público, EXCETO
Provas
Questão presente nas seguintes provas
Cadernos
Caderno Container