Foram encontradas 60 questões.
- Química CinéticaRepresentação das Transformações Químicas
- Transformações Químicas e EnergiaEletroquímica
O ferro, ao entrar em contato com ambiente atmosférico úmido (reagindo com a água em
estado de vapor e oxigênio gasoso), forma depósitos de ferrugem na superfície metálica:
2Fe(s) + O2(g) + 2H2O → 2Fe(OH)2(s)
Com base nas informações acima, é possível afirmar que:
2Fe(s) + O2(g) + 2H2O → 2Fe(OH)2(s)
Com base nas informações acima, é possível afirmar que:
Provas
Questão presente nas seguintes provas
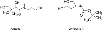
O pantenol nada mais é do que a pró-vitamina B5. A substância é considerada a precursora do
ácido pantotênico, uma vitamina fundamental na manutenção da saúde e vitalidade da pele e dos cabelos.
Por isso, ela vem sendo utilizada na composição das fórmulas de produtos dermo-cosméticos com resultados
muito satisfatórios.
É CORRETO afirmar que o pantenol e o composto A possuem isomeria:
É CORRETO afirmar que o pantenol e o composto A possuem isomeria: Provas
Questão presente nas seguintes provas
Para a reação abaixo, a soma dos menores coeficientes inteiros possíveis após o
balanceamento é:


Provas
Questão presente nas seguintes provas
- FundamentosPropriedades das Substâncias
- FundamentosTransformações: Estados Físicos e Fenômenos
- Química CinéticaTransformações Químicas
- Química OrgânicaFunções Oxigenadas: Cetona, Aldeído, Éter, Éster, Ácido Carboxílico etc.
- Química OrgânicaPropriedades Físicas dos Compostos Orgânicos
A cafeína é encontrada em certas plantas e usada para o consumo em bebidas, na forma de
infusão, como estimulante. Algumas de suas propriedades e a sua estrutura estão apresentadas no quadro a
seguir. Com base nas informações do quadro abaixo, assinale a alternativa INCORRETA:


Provas
Questão presente nas seguintes provas
- FundamentosPropriedades das Substâncias
- Química CinéticaTransformações Químicas
- Química InorgânicaGeometria Molecular, Polaridade e Forças Intermoleculares
As formas de oxidação encontradas para o elemento cromo são:
Cromo (0), Cromo (III) e Cromo (VI).
Assinale a alternativa correspondente aos compostos nos quais o estado de oxidação do cromo seja VI e III, respectivamente:
Cromo (0), Cromo (III) e Cromo (VI).
Assinale a alternativa correspondente aos compostos nos quais o estado de oxidação do cromo seja VI e III, respectivamente:
Provas
Questão presente nas seguintes provas
- Química InorgânicaSoluções e Substâncias InorgânicasSoluções: características, tipos de concentração, diluição, mistura, titulação e soluções coloidais
Qual indicador pode ser utilizado na titulação de precipitação?
Provas
Questão presente nas seguintes provas
- FundamentosLigações Químicas
- FundamentosPropriedades das Substâncias
- Química CinéticaTransformações Químicas
Muitas ligas metálicas são encontradas no nosso cotidiano, por exemplo, em revestimentos de
latas e na fabricação de semicondutores. Índio, estanho e antimônio são bastante utilizados na composição
dessas ligas. Considerando esses elementos e suas propriedades, assinale a alternativa que apresenta a
afirmativa CORRETA:
Provas
Questão presente nas seguintes provas
- Química CinéticaRepresentação das Transformações Químicas
- Química CinéticaVelocidade de Reação, Energia de Ativação e Catalisadores
Um automóvel movido a gasolina pode apresentar a seguinte reação de combustão não
balanceada:
C8H18(
) + O2(g) → CÜ2(g) + H2O(v)
Considere que após uma hora e meia de reação foram produzidos 72 mols de CO2. Dessa forma, a velocidade de reação, expressa em número de mols de gasolina consumida por minuto, é de:
C8H18(
) + O2(g) → CÜ2(g) + H2O(v)
Considere que após uma hora e meia de reação foram produzidos 72 mols de CO2. Dessa forma, a velocidade de reação, expressa em número de mols de gasolina consumida por minuto, é de:
Provas
Questão presente nas seguintes provas
Em um experimento espectrofotométrico obteve-se o seguinte gráfico para a curva de
calibração:
Qual a equação de reta que representa o gráfico acima?
Qual a equação de reta que representa o gráfico acima?Provas
Questão presente nas seguintes provas
As frutas de camu-camu têm alto teor de vitamina C, em torno de 3000 mg / 100 g de fruto.
Um suco de camu-camu foi preparado com 40 g de fruto em 2 L de água. Considerando a ingestão diária
recomendada de vitamina C sendo 75 mg / dia, quantos mL de suco um indivíduo deve beber para alcançar
essa recomendação?
Provas
Questão presente nas seguintes provas
Cadernos
Caderno Container