Foram encontradas 48 questões.
Considere um banco de dados contendo uma tabela R (aluno,disciplina,nota), onde cada registro armazena a nota de um aluno numa determinada disciplina. O programador P afirma que executou o seguinte comando SQL:
select * from R where nota >= 5 and disciplina=’Fisica’
e que o resultado da consulta foi vazio, isto é, nenhum registro foi listado; P concluiu que nenhum aluno tinha sido aprovado em Física, e resolveu executar um outro comando que mostrasse os reprovados:
Ainda segundo P, o resultado foi vazio novamente. P então verificou se havia algum aluno fazendo a disciplina e executou outro comando:
select nome from R where disciplina=’Fisica’
Agora, o comando mostrou 143 nomes de alunos. Pode-se concluir que:
select * from R where nota >= 5 and disciplina=’Fisica’
e que o resultado da consulta foi vazio, isto é, nenhum registro foi listado; P concluiu que nenhum aluno tinha sido aprovado em Física, e resolveu executar um outro comando que mostrasse os reprovados:
Ainda segundo P, o resultado foi vazio novamente. P então verificou se havia algum aluno fazendo a disciplina e executou outro comando:
select nome from R where disciplina=’Fisica’
Agora, o comando mostrou 143 nomes de alunos. Pode-se concluir que:
Provas
Questão presente nas seguintes provas
Os sistemas gerenciadores de bancos de dados usualmente suportam acesso simultâneo de vários aplicativos aos dados, de modo que operações concorrentes possam ser executadas sem conflitos. Uma técnica de implementação dessa funcionalidade é conhecida como:
Provas
Questão presente nas seguintes provas
Sabendo-se que as tabelas R1, R2 e R3 têm 10, 50 e 100 registros respectivamente, e que não há registros duplicados em nenhuma das tabelas, pode-se concluir que o comando SQL
select distinct a.*, b.* from r1 a, r2 b, r3 c
produz um resultado com:
select distinct a.*, b.* from r1 a, r2 b, r3 c
produz um resultado com:
Provas
Questão presente nas seguintes provas
Considere um banco de dados que contém dados sobre pessoas e armazena os atributos Nome, CPF, Endereço, Número de celular. Sabendo-se que pode haver homônimos, que mais de uma pessoa pode dividir o mesmo endereço, que CPF e número de celular pertencem somente a uma pessoa, e que uma pessoa pode ter mais de um celular, pode-se concluir que a dependência funcional que NÃO é válida neste modelo é:
Provas
Questão presente nas seguintes provas
- Banco de Dados RelacionalDependência Funcional
- Banco de Dados RelacionalNormalização2FN: Segunda Forma Normal
- Banco de Dados RelacionalNormalização3FN: Terceira Forma Normal
Considere uma tabela relacional R, com atributos A, B e C, atômicos, na qual o atributo A é a chave primária. Sabendo-se que as dependências funcionais A -> B e B -> C se verificam, pode-se concluir que a tabela R está normalizada até a:
Provas
Questão presente nas seguintes provas
Considere as seguintes afirmativas sobre o padrão Modelo-Visão-Controle (MVC) como utilizado no estilo de projeto orientado a objetos:
I- Os objetos do Modelo devem ter conhecimento direto de objetos da Visão.
II- O padrão MVC permite o desenvolvimento em separado das camadas de Modelo e Visão.
III- O padrão MVC aumenta o acoplamento entre a camada Modelo e a camada Visão.
A(s) afirmativa(s) correta(s) é/são somente:
I- Os objetos do Modelo devem ter conhecimento direto de objetos da Visão.
II- O padrão MVC permite o desenvolvimento em separado das camadas de Modelo e Visão.
III- O padrão MVC aumenta o acoplamento entre a camada Modelo e a camada Visão.
A(s) afirmativa(s) correta(s) é/são somente:
Provas
Questão presente nas seguintes provas
O trecho de código Java a seguir foi criado utilizando-se a funcionalidade “Exportar Java...” de uma ferramenta para modelagem de sistemas.

O diagrama de classes que pode ter sido usado para gerar esse código é:

O diagrama de classes que pode ter sido usado para gerar esse código é:
Provas
Questão presente nas seguintes provas
Observe o diagrama de transição de estados mostrado abaixo. Suponha que o sistema se encontre no estado inicial e seja submetido à seguinte seqüência de eventos:
<e1,e1,e2,e3,e5,e1,e2,e6,e7,e2,e6 >

O estado do sistema após essa seqüência de eventos é:
<e1,e1,e2,e3,e5,e1,e2,e6,e7,e2,e6 >

O estado do sistema após essa seqüência de eventos é:
Provas
Questão presente nas seguintes provas
Observe o seguinte diagrama de casos de uso:

I- A relação C1< include > C2 permite afirmar que a execução de C2 é opcional durante a execução de C1.
II- A relação C3 < extend > C1 permite afirmar que a execução de C3 é obrigatória durante a execução de C1.
III- C1 e C4 compartilham um comportamento comum expresso por C2.
A(s) afirmativa(s) correta(s) é/são somente:

I- A relação C1< include > C2 permite afirmar que a execução de C2 é opcional durante a execução de C1.
II- A relação C3 < extend > C1 permite afirmar que a execução de C3 é obrigatória durante a execução de C1.
III- C1 e C4 compartilham um comportamento comum expresso por C2.
A(s) afirmativa(s) correta(s) é/são somente:
Provas
Questão presente nas seguintes provas
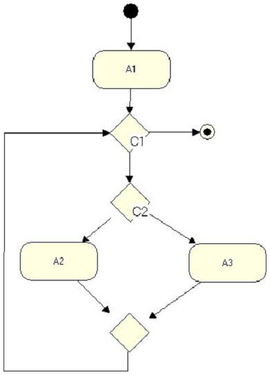
Observe o fluxograma abaixo que representa o fluxo de controle para um algoritmo hipotético.

Pode-se afirmar que a complexidade ciclomática do algoritmo é:

Pode-se afirmar que a complexidade ciclomática do algoritmo é:
Provas
Questão presente nas seguintes provas
Cadernos
Caderno Container