Foram encontradas 60 questões.
Na figura a seguir, as tubulações enumeradas representam, respectivamente:

Provas
Questão presente nas seguintes provas
A interpretação correta do trecho assinalado na planta de forma a seguir é:

Provas
Questão presente nas seguintes provas
Considere o terreno a seguir:

Na elaboração do Projeto de Arquitetura, o partido arquitetônico adotado exige que o terreno fique no mesmo nível da calçada. Para isso, será necessário realizar:
Provas
Questão presente nas seguintes provas
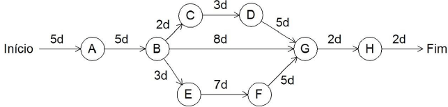
No Gerenciamento de Projetos, o uso de redes de interdependência é um recurso muito útil, principalmente porque permite identificar o caminho crítico do Projeto. Observe o gráfico a seguir, o qual dispõe as atividades de A a H e suas respectivas durações.

Seguindo o caminho crítico, pode-se saber que a atividade G estará concluída em:
Provas
Questão presente nas seguintes provas
O comando do AutoCAD que permite esticar, encolher ou mover partes selecionadas de um grupo de objetos chama-se:
Provas
Questão presente nas seguintes provas
A NBR 8160 (Sistemas prediais de esgoto sanitário – Projeto e execução) estabelece a distância máxima de um desconector à ligação de um tubo de ventilação que o serve. Considerando que a tubulação do desconector é de 100 mm, essa distância não deve exceder:
Provas
Questão presente nas seguintes provas
O projeto de um auditório de 300 lugares requer um cuidado especial na escolha dos revestimentos. Para que esse espaço tenha uma boa acústica, é correto especificar para o teto:
Provas
Questão presente nas seguintes provas
Com relação ao Desenvolvimento Sustentável, o método da Avaliação do Ciclo de Vida (ACV) se refere:
Provas
Questão presente nas seguintes provas
Em Sustentabilidade é muito comum a utilização da política dos 3Rs. Atualmente, alguns autores já falam em 4Rs e 5Rs, mas os 3Rs originais são sempre mantidos em todas as novas versões. Os três Rs originais são:
Provas
Questão presente nas seguintes provas
Considere o caso específico de um projeto de edifício público, localizado na Ilha do Fundão, que tenha uma de suas fachadas envidraçada e orientada para Sul. Do ponto de vista do conforto ambiental, essa fachada:
Provas
Questão presente nas seguintes provas
Cadernos
Caderno Container