Foram encontradas 64 questões.
Em relação à interoperabilidade e ao formato de troca de dados entre sistemas que utilizam WebServices SOAP ou RESTful, assinale a alternativa correta.
Provas
Há um tipo de arquitetura de software que fornece desacoplamento no tempo e no espaço. Isso significa, respectivamente, que clientes e servidores não precisam estar simultaneamente disponíveis e que clientes não precisam conhecer os servidores (e vice-versa). Assinale a alternativa que indica o nome desse tipo de arquitetura.
Provas
Considere o trecho de um código Java a seguir (as reticências indicam código omitido não relevante para o contexto analisado):

Qual é o padrão de projeto implementado em calcSalarioLiquido?
Provas
No HTTP, a negociação de conteúdo é o mecanismo usado para servir diferentes representações de um recurso no mesmo URI, ajudando o agente de usuário (user agent) a especificar qual representação é mais adequada. Esse mecanismo é utilizado no REST para ter diferentes representações (HTML, XML, JSON) de um mesmo recurso. Selecione a alternativa que indica corretamente o cabeçalho HTTP e o respectivo valor que um user agent deve enviar em uma requisição para indicar a preferência por uma representação em JSON do recurso solicitado.
Provas
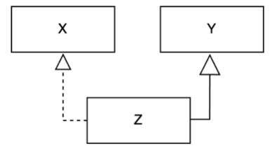
Considere o diagrama de classes UML apresentado a seguir e assinale a alternativa que apresenta a interpretação correta.

Provas
Considere o trecho de código Java a seguir e assinale a alternativa que indica a saída do console quando o código for executado.

Provas
No contexto de Test-Driven Development (TDD), assinale a alternativa correta sobre o conceito de baby steps (passos de bebê).
Provas
Referente ao Scrum, assinale a alternativa que não faz parte das responsabilidades de um Product Owner.
Provas
No contexto da pirâmide de automação de testes, os testes de interface de usuário (UI) são colocados no topo da pirâmide, representando a menor parte da estratégia de automação. Qual é a principal razão para isso?
Provas
O Windows 11 usa qual serviço de usuário para gravações de jogos e transmissões ao vivo?
Provas
Caderno Container