Foram encontradas 60 questões.
As funções das camadas lógicas em
uma arquitetura MVC são muito bem definidas.
Cada uma dessas camadas possuem de forma
especializada funções que promovem um
funcionamento do software de forma mais
organizada auxiliando inclusive na
“manutenabilidade". Considere as seguintes
funções em MVC:
1. Trata o encapsulamento dos objetos do conteúdo.
2. Trata o comportamento do modelo
3. Trata a requisição das atualizações do modelo.
Essas funções correspondem, respectivamente, à
1. Trata o encapsulamento dos objetos do conteúdo.
2. Trata o comportamento do modelo
3. Trata a requisição das atualizações do modelo.
Essas funções correspondem, respectivamente, à
Provas
Questão presente nas seguintes provas
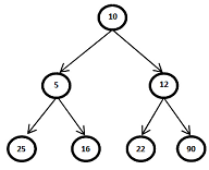
Dada a árvore binária de busca a
seguir, assinale a alternativa que apresenta a
sequência de inserção que a gera.


Provas
Questão presente nas seguintes provas
Assinale a alternativa que apresenta
uma técnica sistemática para construir a
arquitetura do software enquanto conduz testes
para descobrir erros associados às interfaces.
Provas
Questão presente nas seguintes provas
No PHP 5 é possível o tratamento
de objetos como referências em vez de valores.
Assinale a alternativa que possibilita a cópia de
um objeto mesmo que todos estejam sendo
tratados como referências.
Provas
Questão presente nas seguintes provas
Sobre uma arquitetura baseada em
MVC, assinale a alternativa correta.
Provas
Questão presente nas seguintes provas
- Fundamentos de ProgramaçãoAlgoritmosAlgoritmos de OrdenaçãoQuick Sort
- Fundamentos de ProgramaçãoAnálise Assintótica (Notação Big-O)
- Fundamentos de ProgramaçãoComplexidade
Em seu pior caso, o tempo de
ordenação do algoritmo Quicksort sobre um
arranjo de n números é igual a
Provas
Questão presente nas seguintes provas
- Fundamentos de ProgramaçãoEstruturas de DadosEstrutura de Dados: ÁrvoreÁrvore B ou B+ Tree
- Fundamentos de ProgramaçãoEstruturas de DadosEstrutura de Dados: ÁrvorePropriedades de Árvores
Qual o número máximo de chaves e
filhos, respectivamente, em uma árvore B de
ordem “x"?
Provas
Questão presente nas seguintes provas
Sobre a técnica de estimativa
análoga, assinale a alternativa correta.
Provas
Questão presente nas seguintes provas
- Engenharia de SoftwareModelos de DesenvolvimentoÁgeisXP: eXtreme Programming
- Engenharia de SoftwareTestes
Os testes de unidade têm papel
central na metodologia de implementação dirigida
por testes, popularizada pelo processo XP e
adotada em outros métodos. Esses testes são
criados primeiro, exercitando o contrato de cada
operação implementada pelos métodos. Em
seguida, o código dos métodos é escrito para
cumprir os contratos e, portanto, passar nos testes
de unidade. Esse cenário corresponde à
abordagem
Provas
Questão presente nas seguintes provas
No PMBOK, a definição e o
refinamento dos objetivos do projeto estão
inseridos no contexto do Grupo de Processos de
Provas
Questão presente nas seguintes provas
Cadernos
Caderno Container