Magna Concursos

Foram encontradas 60 questões.

2964009 Ano: 2023
Disciplina: Física
Banca: UFSCAR
Orgão: UFSCAR
Provas:
Considerando MT a massa da Terra, RT o raio da Terra e G a constante gravitacional de Newton, qual a expressão para a velocidade de escape do planeta Terra?
 

Provas

Questão presente nas seguintes provas
2964008 Ano: 2023
Disciplina: Física
Banca: UFSCAR
Orgão: UFSCAR
Provas:
Leia o texto a seguir e responda a questão:
O espectro luminoso emitido por uma galáxia é observado aqui da Terra. Em particular, a linha espectral de emissão do hidrogênio de n = 3 para n = 2 é analisada, e nota-se que essa radiação foi observada aqui na Terra com um comprimento de onda 2 nm maior que o respectivo comprimento de onda de repouso.
Considerando que 1 eV = 1,6×10−19 J e que o produto hc = 2×10−25 J.m, qual valor mais se aproxima do comprimento de onda de repouso dessa radiação emitida?
 

Provas

Questão presente nas seguintes provas
2964007 Ano: 2023
Disciplina: Física
Banca: UFSCAR
Orgão: UFSCAR
Provas:
Um telescópio possui uma lente objetiva fina de distância focal fo e uma lente ocular fina de distância focal fe, e essas lentes estão separadas por uma distância igual à soma de suas distâncias focais. Qual o módulo da magnificação angular desse telescópio?
 

Provas

Questão presente nas seguintes provas
2964006 Ano: 2023
Disciplina: Física
Banca: UFSCAR
Orgão: UFSCAR
Provas:
Leia o texto a seguir e responda a questão:
O diâmetro da Lua mede aproximadamente 3,5×103 km e a distância entre a Terra e a Lua mede aproximadamente 4×105 km. A Lua será observada através de um telescópio refrator de lentes finas com diâmetro de abertura de 20 cm, razão focal da objetiva igual a f/10 e distância focal da ocular igual a 10 cm.
Considerando o comprimento de onda da luz observada como 500 nm e usando o critério de Rayleigh, qual o valor que mais se aproxima do diâmetro da menor cratera da Lua que pode ser resolvida por esse telescópio?
 

Provas

Questão presente nas seguintes provas
2964005 Ano: 2023
Disciplina: Física
Banca: UFSCAR
Orgão: UFSCAR
Provas:
Leia o texto a seguir e responda a questão:
O diâmetro da Lua mede aproximadamente 3,5×103 km e a distância entre a Terra e a Lua mede aproximadamente 4×105 km. A Lua será observada através de um telescópio refrator de lentes finas com diâmetro de abertura de 20 cm, razão focal da objetiva igual a f/10 e distância focal da ocular igual a 10 cm.
Qual valor mais se aproxima do diâmetro da imagem da Lua formada pela objetiva desse telescópio?
 

Provas

Questão presente nas seguintes provas
2964004 Ano: 2023
Disciplina: Física
Banca: UFSCAR
Orgão: UFSCAR
Provas:
Leia o texto a seguir e responda a questão:
O diâmetro da Lua mede aproximadamente 3,5×103 km e a distância entre a Terra e a Lua mede aproximadamente 4×105 km. A Lua será observada através de um telescópio refrator de lentes finas com diâmetro de abertura de 20 cm, razão focal da objetiva igual a f/10 e distância focal da ocular igual a 10 cm.
Qual valor mais se aproxima do diâmetro angular da imagem final formada por esse telescópio?
 

Provas

Questão presente nas seguintes provas
2964003 Ano: 2023
Disciplina: Física
Banca: UFSCAR
Orgão: UFSCAR
Provas:
Um pequeno objeto é colocado 60 cm à esquerda de uma lente fina divergente de distância focal 30 cm. A imagem produzida por essa lente servirá de objeto para uma segunda lente fina, agora convergente, de distância focal 15 cm, colocada 20 cm à direita da lente divergente. Qual a magnificação total desse objeto gerada por esse conjunto de lentes? Considere que as lentes e o objeto são paralelos entre si e que o objeto foi colocado perpendicularmente ao eixo de simetria das lentes (eixo óptico), com uma de suas extremidades em cima desse eixo.
 

Provas

Questão presente nas seguintes provas
2964002 Ano: 2023
Disciplina: Física
Banca: UFSCAR
Orgão: UFSCAR
Provas:
Sobre lentes finas, qual das alternativas está correta?
 

Provas

Questão presente nas seguintes provas
2964001 Ano: 2023
Disciplina: Física
Banca: UFSCAR
Orgão: UFSCAR
Provas:
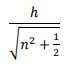
Quando um mergulhador está embaixo d'água e olha para cima, ele enxerga a luz de fora entrando pela superfície da água apenas dentro de uma janela circular de luz de raio R chamada de janela de Snell. Esse fenômeno é explicado pela refração da luz e pelo ângulo limite da reflexão total. Considerando o índice de refração da água como n, o do ar como 1, e que o mergulhador está a uma profundidade h abaixo da superfície da água, qual o valor de R?
 

Provas

Questão presente nas seguintes provas
2964000 Ano: 2023
Disciplina: Física
Banca: UFSCAR
Orgão: UFSCAR
Provas:
Um raio de luz, vindo do meio 1, irá incidir na interface entre o meio 1, com índice de refração n1, e o meio 2, com índice de refração n2. Qual deve ser o ângulo de incidência para que o raio refletido seja perpendicular ao raio refratado? Obs.: Esse ângulo de incidência é chamado de ângulo de Brewster.
 

Provas

Questão presente nas seguintes provas