Foram encontradas 60 questões.
Uma das teorias de liderança diz que ela é um fenômeno que depende, conjuntamente, do líder, dos seguidores e das variáveis ambientais. A ênfase está relacionada com as características comportamentais dos liderados, do ambiente, da situação e do objetivo do processo, como um todo, e não apenas da ação do líder sobre a atitude passiva do subordinado. Essa liderança recebe o nome de
Provas
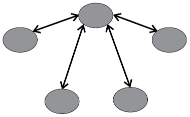
De acordo com Robbins (2011), a comunicação organizacional, em pequenos grupos, aparece de 3 (três) formas. Uma delas é a que se refere à influência que o líder tem para a ação de toda comunicação que acontece no grupo, tendo ele, portanto, uma grande força.
A figura a seguir reproduz graficamente o funcionamento desse tipo de comunicação.

Assinale a alternativa que tem o nome correto dessa rede formal.
Provas
A avaliação de desempenho que é feita, de maneira circular, por todos os elementos que mantêm alguma interação com o avaliado, participando, portanto, da mesma, o gerente, os colegas, os pares, os subordinados, e até os clientes internos e externos, bem como os fornecedores, tem o nome de avaliação
Provas
Existem muitas barreiras para a comunicação eficaz. Uma delas acontece quando o emissor manipula a informação para que seja vista de maneira mais favorável pelo receptor. O nome dessa barreira é
Provas
- PODC: Processo OrganizacionalProcesso Administrativo: OrganizaçãoIntrodução ao Processo de Organização
Na figura a seguir tem-se uma estrutura, ou desenho organizacional, também chamada de organização em grade, ou em teia, que cria uma dupla linha de autoridade, combinando duas formas de departamentalização: funcional e por projeto, ou por produto, de acordo com Chiavenato (2005, p. 111).

Assinale a alternativa que contém o nome correto do desenho.
Provas
O navegador para a internet, Internet Explorer 10, apresenta, de acordo com o tipo de site acessado, um cadeado fechado na Barra de endereços. Quando esse cadeado fechado é apresentado no navegador, significa que
Provas
Em uma rede com computadores com o sistema operacional Windows 7, em sua configuração padrão, é permitido a um usuário conceder o acesso a um arquivo de sua propriedade para outro usuário. Uma das maneiras de se realizar essa permissão é selecionar
Provas
O sistema operacional Windows 7 permite que se altere a aparência dos arquivos em uma janela aberta. A relação que possui apenas modos de exibição válidos é:
Provas
Considere a seguinte planilha, editada no aplicativo MS-Excel 2010.

Caso seja inserida na célula B10 a função
=CONT.SE(B1:B8;”>3”),
o resultado produzido nessa célula será
Provas
No MS-Word 2010, na guia Revisão, grupo Idioma, existem dois recursos, apresentados na figura a seguir, cujos nomes foram retirados e substituídos pelos números 1 e 2.

Os nomes que substituem corretamente esses números são:
Provas
Caderno Container