Foram encontradas 40 questões.
- EletrotécnicaCircuitos Lógicos e Álgebra Booleana em Eletrotécnica
- EletrônicaEletrônica Digital em Eletroeletrônica
O CI 74ALS164 é um registrador de deslocamento à direita de 8 bits, com as entradas de dados, relógio, reset e saídas
identificadas na tabela a seguir. Ambas entradas de dados precisam estar em alto para entrar “1”.

No circuito apresentado, admitindo-se as saídas inicialmente zeradas, após 5 pulsos de relógio, o conteúdo das saídas Q7 Q6 Q5 Q4 Q3 Q2 Q1 Q0 em hexadecimal é:

No circuito apresentado, admitindo-se as saídas inicialmente zeradas, após 5 pulsos de relógio, o conteúdo das saídas Q7 Q6 Q5 Q4 Q3 Q2 Q1 Q0 em hexadecimal é:
Provas
Questão presente nas seguintes provas
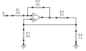
Considere o AO ideal e que seja aplicada à entrada E uma tensão igual a 3 V.

O valor da corrente em R5 é igual a:
Provas
Questão presente nas seguintes provas
- EletrotécnicaCircuitos Lógicos e Álgebra Booleana em Eletrotécnica
- EletrônicaEletrônica Digital em Eletroeletrônica
Analise o circuito.

A função lógica de saída S é dada pela expressão:
Provas
Questão presente nas seguintes provas
A respeito dos conversores de potência, máquinas
elétricas e dos acionamentos e comandos elétricos,
analise as seguintes afirmativas.
I. A taxa de distorção harmônica (TDH) de um sinal é definida como a relação entre o valor eficaz de seus componentes harmônicos e o valor eficaz da fundamental. II. Para qualquer que seja a forma de onda de um sinal elétrico, o fator de potência (FP) é a relação entre a potência ativa e a potência aparente em uma carga. III. É inerente à ação de circuitos retificadores com carga reativa a geração de harmônicas de tensão ou corrente na rede de alimentação. IV. O FP é sempre igual cos
, em que
é o ângulo de
defasagem entre as componentes fundamentais
da tensão e da corrente na carga.
Estão corretas as afirmativas:
I. A taxa de distorção harmônica (TDH) de um sinal é definida como a relação entre o valor eficaz de seus componentes harmônicos e o valor eficaz da fundamental. II. Para qualquer que seja a forma de onda de um sinal elétrico, o fator de potência (FP) é a relação entre a potência ativa e a potência aparente em uma carga. III. É inerente à ação de circuitos retificadores com carga reativa a geração de harmônicas de tensão ou corrente na rede de alimentação. IV. O FP é sempre igual cos
Estão corretas as afirmativas:
Provas
Questão presente nas seguintes provas
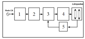
A figura a seguir apresenta os dados de um reator
eletrônico moderno para lâmpadas fluorescentes T5.

Observe o diagrama de blocos do tipo de reator apresentado anteriormente, considerando que os blocos numerados identificam as funções de controle, filtro ressonante, filtro EMI, inversor e retificador.
As funções que identificam os blocos de 1 a 5, nessa ordem, são:

Observe o diagrama de blocos do tipo de reator apresentado anteriormente, considerando que os blocos numerados identificam as funções de controle, filtro ressonante, filtro EMI, inversor e retificador.

As funções que identificam os blocos de 1 a 5, nessa ordem, são:
Provas
Questão presente nas seguintes provas
Observe a tabela, a seguir, que apresenta características
de alguns diodos semicondutores comerciais, que
ilustram os tipos caracterizados como de uso geral,
schottky, rápido e ultrarrápido.

Analisando esses dados, é correto afirmar que os diodos MUR5010, MBR1100, 1N4005 e 1N3901 são, respectivamente, do tipo:

Analisando esses dados, é correto afirmar que os diodos MUR5010, MBR1100, 1N4005 e 1N3901 são, respectivamente, do tipo:
Provas
Questão presente nas seguintes provas
Analise as afirmativas sobre retificadores controlados.
I. Usada na alimentação de motores CC, uma
ponte monofásica totalmente controlada
permite a operação em 4 quadrantes no plano
tensão/corrente.
II. Uma ponte monofásica semicontrolada pode ser
obtida com apenas dois tiristores.
III. O diodo de roda-livre é usado para prover um
caminho para a corrente em carga indutiva
quando a tensão se torna negativa e o sistema
não permite regeneração de energia.
IV. Um retificador 3
totalmente controlado requer
seis tiristores, sendo dois por fase.
Estão corretas as afirmativas:
Provas
Questão presente nas seguintes provas
- EletrônicaComponentes Eletrônicos em Eletroeletrônica
- EletrônicaEquipamentos Elétricos em Eletroeletrônica
Alguns cristais apresentam a propriedade de vibrarem
em resposta à aplicação de um sinal alternado, assim
como a de gerarem uma fem quando submetidos a um
esforço mecânico.
Tal propriedade corresponde ao princípio de
funcionamento do seguinte transdutor:
Provas
Questão presente nas seguintes provas
São características típicas de um transistor bipolar
operando como chave eletrônica em saturação,
EXCETO:
Provas
Questão presente nas seguintes provas
- EletrônicaComponentes Eletrônicos em Eletroeletrônica
- EletrônicaEquipamentos Elétricos em Eletroeletrônica
Acelerômetros são dispositivos que têm aplicações
muito importantes atualmente e em diversos campos,
por exemplo, em celulares e computadores portáteis,
que reorientam a tela conforme o ângulo de inclinação
desejado, e em acionadores de airbags de automóveis.
Existem vários tipos de acelerômetros e muitos usam o
conceito de massa-mola, podendo ser construídos como
um CI.
São tipos de acelerômetros, EXCETO:
Provas
Questão presente nas seguintes provas
Cadernos
Caderno Container