Foram encontradas 130 questões.
Brazil police use pepper spray at austerity protest outside
Rio parliament
Military police have shot pepper spray at demonstrators who broke down barrier fences outside a meeting in Rio de Janeiro where legislators were considering austerity measures to cope with a deepening financial crisis that has kept thousands of public workers from being paid. […]
Disponível em: <https://www.theguardian.com/world/2016>. Acesso em: 17 nov. 2016 (fragmento).
No fragmento, o termo “demonstrators” significa
Provas
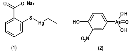
O timerosal e o roxarsone são compostos que apresentam toxicidade em sistemas biológicos, além de serem poluidores ambientais. O timerosal já foi utilizado como princípio ativo do Merthiolate e o roxarsone era empregado na engorda de frangos e porcos, mas a utilização desses compostos para essas finalidades está proibida no Brasil. As estruturas químicas do timerosal (1) e do roxarsone (2) são:

Os possíveis efeitos tóxicos e o impacto ambiental do timerosal (1) e da roxarsone (2) estão associados à presença, na estrutura dos compostos, de
Provas
A água é um recurso essencial à vida. De fevereiro de 2012 a janeiro de 2015, a quantidade de água nas regiões Sudeste e Nordeste do país diminuiu significativamente. Nas duas regiões citadas, a perda de água nesse período gira em torno de 56 quilômetros cúbicos (km3) e 49 km3 de água, respectivamente.
GETIRANA, A. C. V. Extreme water deficit in Brazil detected from space. Journal of Hydrometeorology. out. 2015 (adaptado).
Sobre a seca no Nordeste e Sudeste, é correto afirmar que o
Provas
Em fevereiro de 1893, Silveira Martins, um dos líderes do movimento restaurador, incendiou o país com a revolta “Federalista”, no Rio Grande do Sul, contra o governo de Júlio de Castilhos. Em seguida, veio a Revolta da Armada, na Capital Federal, principiada por um republicano, Custódio de Melo, mas prontamente endossada por monarquistas da Marinha. O governo então legalizou o estado de exceção, encompridado nas ruas por “batalhões patrióticos”, ocupados em salvar a pátria com canhões, porretes e baionetas.
ALONSO, A. Arrivistas e decadentes: o debate brasileiro político-intelectual na primeira década republicana. Novos estud. CEBRAP, São Paulo, n. 85, p. 131-148, 2009. Disponível em: <http://www.scielo.br/pdf/nec/n85/n85a06.pdf>. Acesso em: 24 nov. 2016.
A Primeira Revolta da Armada resultou na
Provas
Adaptación saludable
Si usted cambiara de país, es más que probable que el nuevo contexto sociocultural también deje alguna huella en su salud. “La aculturación (la adaptación al país de destino que obliga a enfrentarse a situaciones diferentes a las del lugar de origen) puede influir tanto de manera negativa como positiva en los hábitos saludables de los inmigrantes”, comenta la doctora Gaby Margarita Ortiz Barreda, doctora en Salud Pública del Departamento de Promoción de la Salud y Desarrollo de la Universidad de Bergen (Noruega), miembro del Grupo de Investigación de Salud Pública de la Universidad de Alicante y coautora del estudio Desigualdades en salud en poblaciones inmigradas a España, en el que se hace una comparación entre la situación de la población nacional y las inmigradas desde 1998 hasta 2013.
“Algunas investigaciones han revelado, por ejemplo, que a mayor aculturación, mayor puede ser el consumo de alcohol y tabaco. Aunque también puede favorecer comportamientos saludables, como la actividad física en el tiempo libre. Es necesario entender que la inmigración y la salud están entrelazadas de manera muy compleja. La salud puede condicionar la decisión de moverse de un lugar a otro y la migración, como proceso en sí, puede afectar la salud de los que se mueven, de los que se quedan, e incluso la salud de los que reciben a los que emigran”, dice la especialista Ortiz Barreda.
Al margen de factores ambientales que no podemos controlar directamente (por ejemplo, quienes viven en ciudades con altos niveles de contaminación tienes más riesgo de padecer cáncer de pulmón y enfermedades cardiovasculares, según estudios), otros sí que están en nuestra mano. En ese caso, fíjese a partir de ahora en las tradiciones de quienes viven más y mejor allende las fronteras o en la comunidad de al lado, intente ponerlas en práctica y conserve aquellas propias que le garantizan a priori una larga vida. Entre unas y otras, seguro que su salud saldrá ganando.
Disponível em: <http://elpais.com/elpais/2016/11/09/buenavida/1478698544_927221.html>. Acesso em: 21 nov. 2016 (adaptado).
Sobre a adaptação saudável, o texto explicita que a
Provas
Quanto à economia no século XVI no Brasil, dadas as afirmativas,
I. A agromanufatura do açúcar forneceu a base econômica para a valorização colonial do Brasil.
II. Ao açúcar subordinavam-se o extrativismo do pau-brasil e a pecuária.
III. A utilização, em larga escala, de trabalhadores escravos, a disponibilidade de terras e a expansão do setor de consumo externo concorreram para o enriquecimento da classe proprietária e da burguesia comercial portuguesa e flamenga.
IV. Ainda, nesse período, persistiam os interesses metalistas.
verifica-se que está(ão) correta(s)
Provas
A tabela apresenta os principais fósseis descobertos de linhagens de hominídeos.
| Espécie |
Cronologia (milhões de anos A.P.) |
Região onde foi encontrado |
| Sahelanthropus tchadensis | 7,0 | Toros-Melalla, Chade |
| Orrorin tugenensis | 6,0 | Tugen Hills, Quênia |
| Ardipithecus kadabba | 5,0 | Middle Awash, Etiópia |
| Ardipithecus ramidus | 4,2 | Middle Awash, Etiópia |
| Australopithecus anamensis | entre 4,2 e 3,9 | Lago Turkana, Quênia |
| Australopithecus afarensis * | entre 3,7 e 2,5 |
Hadar, Etiópia; Laetoli, Tanzânia |
|
Australopithecus bahrelghazali |
entre 3,0 e 3,5 | Chade |
| Kenyanthropus platyops | 3,5 | Quênia |
| Australopithecus africanus | 3,0 |
Taung, Sterkfontein, África do Sul |
| Australopithecus garhi | 2,5 | Etiópia |
| Paranthropus aethiopicus | 2,7 | Lago Turkana, Quênia |
| Paranthropus robustus | entre 2,0 e 1,0 |
Swartkrans; Kromdraai, África do Sul |
| Paranthropus boisei | 1,75 |
Garganta de Olduvai, Tanzânia; Lago Turkana, Quênia |
| Homo habilis | entre 2,0 e 1,7 |
Garganta de Olduvai, Tanzânia; Lago Turkana, Quênia |
| Homo rudolfensis | entre 2,3 |
Lago Turkana, Quênia; Malawi |
| Homo ergaster | entre 2,0 e 1,4 |
Lago Turkana, Quênia; Dmanisi, República da Geórgia |
| Homo erectus | entre 1,8 e 0,03 | África, Ásia, Europa (?) |
| Homo heidelbergensis | entre 0,8 e 0,2 | Europa, Oriente Médio |
| Homo neanderthalensis | entre 0,2 e 0,03 | |
| Homo sapiens | 0,2 – atual |
Surgimento na África; todo o planeta |
* Também classificado como Praeanthropus africanus. NEVES, Walter A. E no princípio... era o macaco!. Estudos Avançados, São Paulo, v. 20, n. 58, p. 249-285, dec. 2006.
Dadas as afirmativas sobre os dados da tabela,
I. Todos os hominídeos do mesmo gênero conviveram no mesmo tempo geológico.
II. O Australopithecus afarensis (Lucy é o fóssil hominídeo mais famoso) habitou o planeta ao mesmo tempo que o Homo erectus.
III. Homo sapiens, Homo neanderthalensis e Homoheidelbergensis habitaram o planeta em período geológico coincidente.
verifica-se que está(ão) correta(s)
Provas

Disponível em: <https://br.images.search.yahoo.com/search/images>. Acesso em: 22 nov. 2016.
A respeito do anúncio publicitário, dadas as afirmativas,
I. O anúncio apela para as responsabilidades sociais e familiares.
II. A utilização da linguagem conotativa, através de metáfora, e as ideias da publicidade em versos, aproximam o anúncio da
poesia e da literatura em geral.
III. A construção dos verbos nos versos: “Livro é pra levar pra casa” e “É um objeto para ser amado” apresenta um sentido semelhante ao do modo imperativo.
IV. Nos versos: “escrever seu nome nele” e “colorir suas figuras, usufruí-lo...”, os pronomes destacados apresentam um mesmo referente, referem-se a um elemento catafórico.
verifica-se que estão corretas apenas
Provas
[...]
Daí a pouco, em volta das bicas era um zunzum crescente; uma aglomeração tumultuosa de machos e fêmeas. Uns, após outros, lavavam a cara, incomodamente, debaixo do fio de água que escorria da altura de uns cinco palmos. O chão inundava-se. As mulheres precisavam já prender as saias entre as coxas para não as molhar; via-se-lhes a tostada nudez dos braços e do pescoço, que elas despiam, suspendendo o cabelo todo para o alto do casco; os homens, esses não se preocupavam em não molhar o pêlo, ao contrário metiam a cabeça bem debaixo da água e esfregavam com força as ventas e as barbas, fossando e fungando contra as palmas da mão [...].
AZEVEDO, Aluísio. O cortiço. São Paulo: Ática, 1997, p. 41.
O autor Aluísio Azevedo, nesse fragmento especificamente, traz ao contexto literário a caracterização humana impregnada de
Provas
Nos estudos de evolução, podemos reconstruir o padrão filogenético de um grupo a partir da identificação de estados de caráter derivados compartilhados (sinapomorfia). Um exemplo: presença de um orifício na região pélvica, denominada de acetábulo, onde se encaixa o fêmur, é uma das características que encontramos apenas nos dinossauros.
KELLNER, Alexander. O estudo dos répteis fósseis-cresce a contribuição da ciência brasileira. Cienc. Cult., São Paulo, v. 67, n. 4, dec. 2015 (adaptado).

Disponível em: <http://www.cienciahoje.org.br/noticia/v/ler/id/2589/n/como_surgiram_os_dinossauros.html>. Acesso em: 13 dez. 2016 (adaptado).
Nesse caso, a sinapomorfia indica
Provas
Caderno Container