Foram encontradas 135 questões.
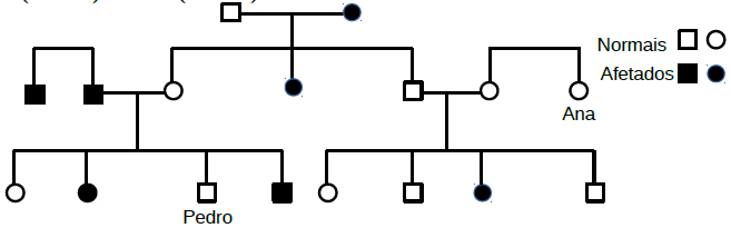
O heredograma contido na figura abaixo foi apresentado pelo professor de Genética aos alunos do 3º ano do Ensino Médio a fim de que os mesmos pudessem analisar as características referentes à pigmentação da pele. Foi apresentado aos alunos que o heredograma representa indivíduos com pigmentação normal (normais) e albinos (afetados).

Após a apresentação do heredograma, o professor de Genética perguntou: considerando que Pedro e Ana vão se casar, qual a chance de o casal ter uma filha albina, considerando que Ana é filha de pais heterozigotos?
Provas
Questão presente nas seguintes provas
TEXTO VI

tirinhas+de+literatura&tbm=isch&source
Sobre a produção de Machado de Assis, além das características expostas no segundo quadro da tirinha, poderíamos acrescentar:
Provas
Questão presente nas seguintes provas
“Se há datas que obedecem a algo mais que à necessidade de periodização, agosto de 1914, é uma delas: foi considerado o marco do fim do mundo feito por e para a burguesia. Assinala o fim do “longo século XIX”, com o qual os historiadores aprenderam a trabalhar” (HOBSBAWM, Eric. A Era dos Impérios: 1875-1924. Rio de Janeiro: Paz e Terra, 1988, p. 19).
Sobre o “longo século XIX” destacado, assinale a alternativa CORRETA:
Provas
Questão presente nas seguintes provas
Uma das principais etapas do desenvolvimento embrionário é a neurulação, processo em que a placa neural e pregas neurais são formadas e ocorre o fechamento do tubo neural. A respeito deste processo, podemos afirmar:
02) A neurulação é a etapa onde ocorre a formação de estruturas que vão originar o Sistema Nervoso Central;
04) A placa neural se forma no endoderma e invagina para o mesoderma extraembrionário, formando um tubo que só se fecha no final da gestação;
08) As cristas neurais originam o Sistema Nervoso Central;
16) O endoderma origina estruturas como revestimento interno do intestino, tireoide, pâncreas, trato respiratório e bexiga urinária;
32) As células do ectoderma se multiplicam e recobrem a placa neural.
O somatório da(s) alternativa(s) corretas:
Provas
Questão presente nas seguintes provas
“Refugiados: o êxodo do século XXI [...]. A crise dos refugiados não é europeia, é mundial” (https://www.cartacapital.com.br/revista/871/o-exodo-do-seculo-xxi-3395.html). O Brasil, desde o ano de 2010, torna-se palco de refugiados; primeiro foram os Haitianos e agora os Venezuelanos. O gráfico a seguir apresenta a quantidade de solicitantes de reconhecimento da condição de refugiado no Brasil em 2017 e suas respectivas nacionalidades.

Fonte: Brasil/Ministério da Justiça. Refúgio em números, 3ª ed. 2017
Em meio a essa crise, foi aprovada no congresso federal a nova Lei de Migração (Lei 13.445/2017) que entrou em vigor no Brasil em 22 de novembro de 2017, dentre seus objetivos, a Lei reconhece a migração como um fenômeno da humanidade. A nova Lei também atualizou a legislação sobre extradição de 1938 e o Estatuto do Estrangeiro de 1980.
Sobre o assunto é CORRETO afirmar:
Provas
Questão presente nas seguintes provas
Dois corpos de massas M1 e M2 estão totalmente imersos em um líquido de densidade igual a ρ0 , como mostra a figura a seguir. A densidade do corpo de massa M1 é igual a ρ1 e a densidade de M2 é igual a ρ2.

Sabendo que ρ1=2ρ0 , ρ2=ρ0/ 2, M1=M2 e o valor da aceleração da gravidade é igual a g , é correto afirmar que o módulo da aceleração do corpo de massa M1 e do corpo de massa M2 são, respectivamente iguais a:
Provas
Questão presente nas seguintes provas
Os hormônios vegetais (ou fitormônios) atuam sobre o crescimento e o desenvolvimento das plantas.
Local de Produção do Hormônio
vegetal
vegetal
1. No ápice caulinar, em folhas e em sementes em desenvolvimento.
2. Em meristemas, folhas jovens, sementes imaturas e frutos.
3. Raízes
Efeito do Hormônio vegetal sobre a planta
a) Estimulam a divisão e a diferenciação celular, a diferenciação e o crescimento de raízes; induzem o desenvolvimento de gemas laterais e retardam o envelhecimento da planta.
b) Crescimento do caule e da raiz; tropismo; dominância apical; produção de raízes adventícias; formação de frutos e abscisão.
c) Estimulam o alongamento e a divisão celular; promovem alongamento caulinar, germinação de sementes, crescimento de folhas, produção de flores e frutos.
Considerando a tabela acima, assinale a alternativa que associa o local de produção ao efeito do hormônio vegetal sobre a planta ocasionado pelas auxinas, giberalinas e citosinas, respectivamente.
Provas
Questão presente nas seguintes provas
ENTRE EL PAPEL Y LA PANTALLA: EL FUTURO DE LA PRENSA ESCRITA
Durante mucho tiempo se ha cometido el error de tomar el medio electrónico como una adaptación del medio impreso. Si bien no es tan difícil imaginarse un escenario invertido - donde los medios impresos pasan a ser adaptaciones de los medios electrónicos - en mi opinión ninguna de estas dos opciones representa lo óptimo. Hay un mundo de diferencias entre pantalla y papel, y una vez terminada esta etapa de transición, vamos a poder ver que hay lugar para ambos, pero con una relación más compleja que la que se ve ahora. La relación entre pantalla y papel va desde gemelos hacia mellizos, hermanos y finalmente primos, con sus diferencias claramente marcadas.
Lo más ilustrativo para estas diferencias es el mundo de los periódicos. Durante mucho tiempo, en el ámbito de las noticias ha existido algo así como ‘el momento de la verdad’. Ese momento es alrededor de las 04:00 horas de la madrugada, cuando las prensas se ponen en marcha como una enorme locomotora a vapor, imposible de parar. Lo que dice el diario en ese momento es la verdad (debe ser verdad, si sale en el diario!) y la próxima oportunidad para corregir o actualizar esa ‘verdad’ se presenta recién 24 horas más tarde.
Por ejemplo, un error en una publicación impresa es un pecado. Pero un error en un medio electrónico - siempre y cuando corregido debidamente- demuestra rapidez y hasta puede generar confianza. La audiencia sabe que el mundo cambia cada minuto, y un medio electrónico que refleja esos cambios en tiempo real, genera cercanía. Un medio electrónico busca la verdad instantánea, más que la verdad común. Luego, la audiencia lo convierte en una verdad liquida, opinando, complementado y corrigiendo el contenido en tiempo real.
Hace unos meses tuve la oportunidad de conversar con la persona responsable en los años ‘90 para el lanzamiento deSFGate.com, el sitio web del San Francisco Chronicle y el primer portal de un periódico en generar ganancias. El sitio llegó a ser tan popular que las ventas de la versión en papel empezaron a disminuir drásticamente. La solución para este problema fue dejar de tratar al portal como un espejo en tiempo real del diario en papel. Publicando contenido diferente en cada medio, lograron recuperar parte importante de las ventas en papel aumentando al mismo tiempo las visitas al portal. Hoy día, con una audiencia mucho más acostumbrada a la participación, existen muchas otras formas para entregarles una identidad propia a los medios electrónicos.
Disponível em: https://houstonwehaveabigproblem.wordpress.com/2008/01/29/entre-papel-y-pantalla-el-futuro-dela- prensa-escrita/
De acordo com o texto, a principal desvantagem do jornal impresso é:
Provas
Questão presente nas seguintes provas
TEXTO V
Quando era criança
Vivi, sem saber,
Só para hoje ter
Aquela lembrança.
E hoje que sinto
Aquilo que fui.
Minha vida flui,
Feita do que minto.
Mas nesta prisão,
Livro único, leio
Livro único, leio
O sorriso alheio
De quem fui então.
De quem fui então.
Fernando Pessoa, Cancioneiro
O texto V é parte integrante da poesia de Fernando Pessoa. O poeta utiliza-se de vários recursos da linguagem poética, dentre os quais, o elemento sonoro. Marque a opção que justifica o explícito acima:
Provas
Questão presente nas seguintes provas
A figura a seguir mostra um objeto de altura H, colocado em frente de um espelho côncavo a uma distância 3 f do vértice desse espelho, onde f , C e R representam a distância focal do espelho, o centro de curvatura e o raio de curvatura do espelho, respectivamente.
Podemos afirmar que a distância da imagem do objeto gerada ao vértice do espelho é igual a:

Provas
Questão presente nas seguintes provas
Cadernos
Caderno Container