Foram encontradas 65.280 questões.
Na maioria das plantas, o processo da fotossíntese é
realizado pelas folhas, órgãos vegetais adaptados a realizar esse processo. No entanto, há algumas espécies de
plantas que apresentam adaptações para a realização de
funções adicionais. As gavinhas, por exemplo, são folhas
adaptadas para
Provas
Questão presente nas seguintes provas
Os alunos estão estudando os insetos. Durante um
estudo de campo realizado com o professor, eles fotografaram os seguintes insetos: formigas, borboletas,
besouros, abelhas, gafanhotos, mariposas e moscas.
De volta à escola, o professor solicitou que pesquisassem as características de cada inseto observado e os
classificassem em suas respectivas ordens.
Ao fazer essa classificação, os alunos encontraram um total de
Ao fazer essa classificação, os alunos encontraram um total de
Provas
Questão presente nas seguintes provas
Atualmente, os mamíferos estão classificados em 20
ordens, que incluem animais como elefantes, baleias,
lobos, macacos, coelhos, gambás entre outros. São
conhecidas três linhagens de mamíferos: os monotremados, os marsupiais e os eutérios. Essas linhagens
compartilham muitas características em comum, porém
algumas características estão presentes em uma determinada linhagem, mas ausente em outra.
Esse é o caso
Esse é o caso
Provas
Questão presente nas seguintes provas
A célula, unidade básica estrutural e fundamental de
um ser vivo, pode ser de dois tipos: procariótica ou
eucariótica. Células de bactérias, por exemplo, são
procarióticas, enquanto células de animais e de vegetais
são eucarióticas. Ao comparar células de bactérias, de
vegetais e de animais, verifica-se que apresentam várias
estruturas e organelas em comum. No entanto, há aquelas
que ocorrem exclusivamente em células animais, como
Provas
Questão presente nas seguintes provas
O sistema digestório é um dos maiores e mais importantes sistemas do nosso corpo, realizando funções
essenciais, como a ingestão dos alimentos, a digestão,
a absorção dos nutrientes e a eliminação dos resíduos.
Ele é formado por diversos órgãos, como mostrado na ilustração a seguir:
(https://academiahealth.blog.br/como-funciona-o-sistema-digestorio/. Adaptado)
A digestão das gorduras e a absorção de água são realizadas, respectivamente, pelos órgãos indicados pelos números
Ele é formado por diversos órgãos, como mostrado na ilustração a seguir:
(https://academiahealth.blog.br/como-funciona-o-sistema-digestorio/. Adaptado)
A digestão das gorduras e a absorção de água são realizadas, respectivamente, pelos órgãos indicados pelos números
Provas
Questão presente nas seguintes provas
Todos os organismos são constituídos de matéria. A
matéria, por sua vez, é formada por elementos químicos.
Na nossa espécie, há elementos químicos que compõem
cerca de 96% da massa do corpo humano (grupo 1),
outros que compõem cerca de 4% da massa do corpo
humano (grupo 2) e outros, denominados elementos
traço, que compõem menos de 0,01% da massa do corpo
humano (grupo 3).
São exemplos de elementos incluídos nos grupos 1, 2 e 3, respectivamente:
São exemplos de elementos incluídos nos grupos 1, 2 e 3, respectivamente:
Provas
Questão presente nas seguintes provas
Durante uma aula de Ciências, a professora Sílvia propôs que os alunos criassem um material explicando, em
duplas, o ciclo da água. Para isso, utilizaram um aplicativo que permite personalizar textos, adicionando gráficos,
gravações de voz e vídeos a um projeto. Os alunos usaram desenhos, mapas interativos, narração com efeitos
sonoros e diferentes recursos audiovisuais. Ao final, a
turma compartilhou seus trabalhos e discutiu o uso das
linguagens presentes.
Com base na proposta de Rojo (2012), a prática realizada por Sílvia está relacionada a
Com base na proposta de Rojo (2012), a prática realizada por Sílvia está relacionada a
Provas
Questão presente nas seguintes provas
O fósforo é um elemento essencial para os seres vivos, desempenhando um papel fundamental na formação de estruturas celulares, moléculas de DNA e RNA, além de estar presente no ATP, a principal molécula de armazenamento de energia nos organismos.
A respeito do ciclo biogeoquímico do fósforo, é correto afirmar que
Provas
Questão presente nas seguintes provas
Os ácidos nucleicos são moléculas grandes e muito
complexas. Uma delas, o DNA, é responsável pelo armazenamento codificado das informações genéticas que
caracterizam um indivíduo. O modelo a seguir representa um segmento de uma molécula de DNA.
(https://es.dreamstime.com/estructura-de-la-dna-diagrama-del-vector-el-para-su-dise-o-educativo-ciencia-y-uso-m-dico-image149966094. Adaptado)
Nessa representação da molécula de DNA, uma desoxirribose, uma base púrica, uma ponte de hidrogênio e um grupo fosfato estão indicados, respectivamente, em:
(https://es.dreamstime.com/estructura-de-la-dna-diagrama-del-vector-el-para-su-dise-o-educativo-ciencia-y-uso-m-dico-image149966094. Adaptado)
Nessa representação da molécula de DNA, uma desoxirribose, uma base púrica, uma ponte de hidrogênio e um grupo fosfato estão indicados, respectivamente, em:
Provas
Questão presente nas seguintes provas
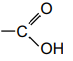
O salmão é fonte de nutrientes conhecidos como ácidos
graxos ômega-3, que não são sintetizados pelo nosso
corpo e precisam ser obtidos da dieta. São ácidos carboxílicos de cadeia longa e insaturada. Essas substâncias
apresentam o radical ácido carboxílico, representado
corretamente em:
Provas
Questão presente nas seguintes provas
Cadernos
Caderno Container