Foram encontradas 530 questões.
Em um sistema de drenagem de uma rodovia, o termo
“esconsidade” significa:
Provas
Questão presente nas seguintes provas
Com relação ao Diagrama de Bruckner, utilizado para analisar o
movimento de terra em uma estrada, assinale (V) para a afirmativa
verdadeira e (F) para a falsa.
( ) Um ponto de máximo corresponde à passagem de uma seção de aterro para uma de corte.
( ) A ordenada máxima da curva indica o total de compensação longitudinal entre cortes e aterros na estrada.
( ) Quando o valor final no gráfico é negativo, é necessário material adicional para a realização de aterros.
As afirmativas são, respectivamente
( ) Um ponto de máximo corresponde à passagem de uma seção de aterro para uma de corte.
( ) A ordenada máxima da curva indica o total de compensação longitudinal entre cortes e aterros na estrada.
( ) Quando o valor final no gráfico é negativo, é necessário material adicional para a realização de aterros.
As afirmativas são, respectivamente
Provas
Questão presente nas seguintes provas
A pavimentação de uma estrada envolve a realização de diversas
camadas.
A alternativa que lista corretamente os materiais que podem ser utilizados para as camadas de revestimento, base, sub-base e reforço do subleito são, respectivamente,
A alternativa que lista corretamente os materiais que podem ser utilizados para as camadas de revestimento, base, sub-base e reforço do subleito são, respectivamente,
Provas
Questão presente nas seguintes provas
Um serviço de sondagem envolveu um ensaio para avaliar a
resistência ao cisalhamento de uma argila, quando submetida a
uma deformação. A figura a seguir mostra um gráfico construído a
partir do relatório desse ensaio.
Fonte: Caputo, H.P., “Mecânica dos Solos”, vol. 1
Pode-se observar que, a partir de certo ponto, a resistência da argila decresce, chegando até um valor residual, indicado no final do gráfico, à direita.
Três hipóteses foram levantadas para explicar esta perda de resistência:
I. Reorientação de suas partículas lamelares do material.
II. Redução da umidade da amostra.
III. Destruição da estrutura cristalina da mistura.
Está correto o que se afirma em
Fonte: Caputo, H.P., “Mecânica dos Solos”, vol. 1
Pode-se observar que, a partir de certo ponto, a resistência da argila decresce, chegando até um valor residual, indicado no final do gráfico, à direita.
Três hipóteses foram levantadas para explicar esta perda de resistência:
I. Reorientação de suas partículas lamelares do material.
II. Redução da umidade da amostra.
III. Destruição da estrutura cristalina da mistura.
Está correto o que se afirma em
Provas
Questão presente nas seguintes provas
Leia atentamente o texto a seguir, que descreve um tratamento
feito a um aço:
“Trabalhou-se mecanicamente a peça abaixo da zona crítica de temperatura, mantendo seus grãos deformados. Como consequência, o aço passa a apresentar maior resistência, e dureza, porém menor alongamento e redução da resistência à corrosão.”
O produto desse processo é um aço denominado
“Trabalhou-se mecanicamente a peça abaixo da zona crítica de temperatura, mantendo seus grãos deformados. Como consequência, o aço passa a apresentar maior resistência, e dureza, porém menor alongamento e redução da resistência à corrosão.”
O produto desse processo é um aço denominado
Provas
Questão presente nas seguintes provas
Dentre as características físicas da madeira, cita-se a
retratibilidade, que consiste na propriedade de:
Provas
Questão presente nas seguintes provas
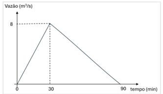
A figura a seguir mostra um hidrograma das vazões na seção de
uma galeria, em decorrência da drenagem das águas provenientes
de uma forte chuva.
O volume total de água que passou por essa seção durante a chuva, em Dm3 , foi de
O volume total de água que passou por essa seção durante a chuva, em Dm3 , foi de
Provas
Questão presente nas seguintes provas
A figura a seguir mostra, à esquerda, um muro de arrimo utilizado
para conter uma camada de solo, indicada à direita.
Sabendo-se que o coeficiente de empuxo ativo do solo vale 0,3, e que o peso específico do solo é de 1,8 kN/m3 , o módulo do empuxo ativo do solo sobre o muro vale, aproximadamente:
Sabendo-se que o coeficiente de empuxo ativo do solo vale 0,3, e que o peso específico do solo é de 1,8 kN/m3 , o módulo do empuxo ativo do solo sobre o muro vale, aproximadamente:
Provas
Questão presente nas seguintes provas
Após realização de ensaios em um solo, verificou-se que seus
índices de liquidez e plasticidade valem, respectivamente, 30% e
10%. Sabendo-se que uma amostra desse solo apresenta umidade
de 25% em seu estado natural, o índice de consistência dessa
amostra vale:
Provas
Questão presente nas seguintes provas
Foi solicitado a um engenheiro que realizasse a medição dos
serviços de fundação de uma obra, ao final de determinado mês.
Os três itens a serem medidos são:
I. Arrasamento de estacas
II. Formas para fundação
III. Lastro de concreto macro
Os serviços I, II e III acima devem ser medidos, respectivamente, nas unidades:
I. Arrasamento de estacas
II. Formas para fundação
III. Lastro de concreto macro
Os serviços I, II e III acima devem ser medidos, respectivamente, nas unidades:
Provas
Questão presente nas seguintes provas
Cadernos
Caderno Container