Foram encontradas 942 questões.
Uma das maneiras de reduzir a taxa de erro de bit de uma
transmissão em modulação 16-QAM é realizando a codificação de
canal, que consiste na adição de bits redundantes com o objetivo
de detectar e corrigir erros na recepção.
Considere a técnica de codificação de canal que consiste na transmissão de uma palavra código de 4 bits correspondente a 2 bits de mensagem, conforme a tabela a seguir.

Deseja-se transmitir um trem de bits , que em hexadecimal, é igual a E9.
O trem de bits transmitidos, em hexadecimal, será
Considere a técnica de codificação de canal que consiste na transmissão de uma palavra código de 4 bits correspondente a 2 bits de mensagem, conforme a tabela a seguir.

Deseja-se transmitir um trem de bits , que em hexadecimal, é igual a E9.
O trem de bits transmitidos, em hexadecimal, será
Provas
Questão presente nas seguintes provas
A potência de saída (Ps ) de um dispositivo eletrônico é igual a
0,0625W. O valor de Ps expresso em dBm é, aproximadamente,
[Dado: log10 2 ~0,3]
[Dado: log10 2 ~0,3]
Provas
Questão presente nas seguintes provas
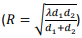
Deseja-se estabelecer um enlace de micro-ondas na frequência
de 10 GHz em visibilidade entre dois prédios P1 e P2. Duas torres
idênticas serão instaladas no topo dos prédios de tal forma que
as antenas sejam posicionadas a uma altura hT acima do topo
dos prédios.
Na visada do enlace existe um obstáculo do tipo gume-de-faca com altura ho e distante d2 de P2. Sabe-se que um enlace é considerado em visibilidade quando a distância vertical (H) entre a linha de visada e o obstáculo é maior do que 60% do raio da primeira zona de Fresnel
na posição do obstáculo,
onde λ é o comprimento de onda.

Na condição de Terra plana, o valor de hT é igual a
Na visada do enlace existe um obstáculo do tipo gume-de-faca com altura ho e distante d2 de P2. Sabe-se que um enlace é considerado em visibilidade quando a distância vertical (H) entre a linha de visada e o obstáculo é maior do que 60% do raio da primeira zona de Fresnel

Na condição de Terra plana, o valor de hT é igual a
Provas
Questão presente nas seguintes provas
A frequência de operação possível de um enlace de
comunicações que possui como mecanismo de propagação
principal a reflexão ionosférica é igual a
Provas
Questão presente nas seguintes provas
Um terminal de comunicações via satélite possui uma potência
isotrópica efetivamente radiada (EIRP) igual a 60 dBW na
frequência de f = 3GHz. A antena é do tipo refletor parabólico
com eficiência de abertura igual a η = 0,64 e ganho igual a ( πDf / 3x108 ) 2 . Sabendo-se que no modo de transmissão, a potência na
porta de entrada da antena é igual a 100W, o diâmetro D da
antena é aproximadamente igual a
Provas
Questão presente nas seguintes provas
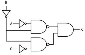
O circuito digital a seguir possui três entradas digitais A, B e C e
uma saída S. Ele é composto de três portas inversoras, uma porta
E e duas portas NÃO E.

A operação Booleana realizada pelo circuito é corretamente descrita como

A operação Booleana realizada pelo circuito é corretamente descrita como
Provas
Questão presente nas seguintes provas
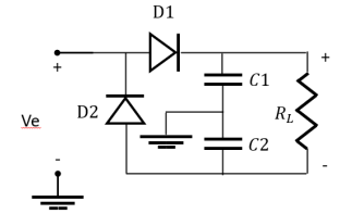
O circuito a seguir é composto de dois capacitores C1 e C2 e dois
diodos D1 e D2. O sinal de entrada Ve é um sinal de tensão
senoidal de amplitude e frequência fixos. O sinal de saída Vs é a
queda de tensão no resistor Rl e é um sinal em corrente contínua.

Este circuito é conhecido como

Este circuito é conhecido como
Provas
Questão presente nas seguintes provas
O transistor bipolar de junção do tipo npn possui duas junções pn
e, portanto, pode funcionar como um diodo.
Para que isso ocorra,
Para que isso ocorra,
Provas
Questão presente nas seguintes provas
Durante a realização de uma medição, a grandeza elétrica medida
pode ser uma grandeza fundamental ou uma grandeza derivada.
O seguinte equipamento é capaz de realizar a medida de uma grandeza fundamental:
O seguinte equipamento é capaz de realizar a medida de uma grandeza fundamental:
Provas
Questão presente nas seguintes provas
O circuito abaixo é composto de dois resistores R1 e R2 e um
capacitor C. As tensões de entrada e saída são, respectivamente,
Ve e Vs.

Analise as afirmativas a seguir relativas ao circuito apresentado.
I. O circuito é um filtro passa-altas.
II. A frequência de corte é aproximadamente igual a 3,18 kHz.
III. A função de transferência é aproximadamente igual a:

Está correto o que se afirma em

Analise as afirmativas a seguir relativas ao circuito apresentado.
I. O circuito é um filtro passa-altas.
II. A frequência de corte é aproximadamente igual a 3,18 kHz.
III. A função de transferência é aproximadamente igual a:

Está correto o que se afirma em
Provas
Questão presente nas seguintes provas
Cadernos
Caderno Container