Foram encontradas 408 questões.
- Engenharia de SoftwareCiclo de Vida de Software
- Engenharia de SoftwareModelos de DesenvolvimentoÁgeis
No processo de desenvolvimento de software iterativo
e incremental, assinale o conceito que NÃO se adequa
à sua filosofia.
Provas
Questão presente nas seguintes provas
Num diagrama de casos de uso, a seguinte situação é descrita o ator CANDIDATO associa-se ao caso Realizar inscrição (chamado aqui no contexto desta questão de UC01). Outros dois casos de uso são apresentados. Solicitar isenção de pagamento (denominado UC02) e Cadastrar candidato (denominado UC03). A ligação entre UC01 e UC02 é do tipo extend de UC02 para UC01; já a ligação entre UC01 e UC03 é do tipo include, de UC01 para UC03.
Uma interpretação apropriada ao diagrama de casos de uso acima é a de que um candidato
Uma interpretação apropriada ao diagrama de casos de uso acima é a de que um candidato
Provas
Questão presente nas seguintes provas
Observe o código seguinte:

Provas
Questão presente nas seguintes provas
Um programador Java deseja construir um sistema,
utilizando um padrão de projeto J2EE, no qual seja
possível dividir o sistema em um modelo de dados,
um conjunto de visões associadas e um conjunto de
controladores sobre esses dados.
Para esse caso, o padrão adequado é o
Para esse caso, o padrão adequado é o
Provas
Questão presente nas seguintes provas
Considere um diagrama de classes que possui a
seguinte especificação: uma classe INVESTIDOR, que
possui os atributos numeroCPF, nomeCompleto e
endereço. Essa classe é modelada como superclasse de
outra, denominada PRIME, com o atributo renda. A
classe INVESTIDOR associa-se a outra classe
chamada FUNDO, que tem os atributos idFundo,
descrição e rentabilidadeMedia. Essa associação possui
as seguintes multiplicidades: 1..* de INVESTIDOR
FUNDO, e* de FUNDO para INVESTIDOR. Ela
apresenta uma classe associativa chamada
APLICAÇÃO, com os atributos dataAplicacao e
valorAplicado.
A partir da explicação apresentada, pode-se inferir que um(a)
A partir da explicação apresentada, pode-se inferir que um(a)
Provas
Questão presente nas seguintes provas
- Paradigmas de ProgramaçãoOrientação a ObjetosDefinição Técnica: Orientação a Objetos
- Paradigmas de ProgramaçãoOrientação a ObjetosOrientação a Objetos: Encapsulamento
Um programador, utilizando orientação a objeto,
deseja fazer com que os atributos e serviços
disponíveis em uma classe estejam escondidos, de
modo que o acesso aos mesmos se dê através de
interfaces.
O mecanismo de orientação a objetos, adequado para essa característica, é o /a
O mecanismo de orientação a objetos, adequado para essa característica, é o /a
Provas
Questão presente nas seguintes provas
Seja o programa a seguir, escrito em Java.

Provas
Questão presente nas seguintes provas
Seja um diagrama de classes, segundo o modelo
UML. E m uma classe Y desse diagrama há um
atributo que pode ser acessível por todas as outras
classes existentes no diagrama.
Esse atributo é dito como sendo um atributo
Esse atributo é dito como sendo um atributo
Provas
Questão presente nas seguintes provas
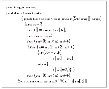
Seja este programa escrito em Java.

Provas
Questão presente nas seguintes provas
Avalie o programa a seguir.

Provas
Questão presente nas seguintes provas
Cadernos
Caderno Container