Foram encontradas 765 questões.
Considere a viga biapoiada com comprimento de 8 m, submetida a uma carga uniformemente distribuída de 2 kN/m e a duas cargas concentradas de 4 kN, simétricas, distantes 2 m de cada apoio, conforme figura a seguir:

A viga deve ser dimensionada para o momento fletor máximo, cujo valor é, em kNm,
Provas
Considere a treliça de aço montada com sete barras de 1 m de comprimento, que compõe a estrutura da cobertura de um galpão, conforme figura a seguir:

Considerando as cargas concentradas de 4 kN nos nós B e C, a barra AB está solicitada a uma carga, em kN, de
Provas
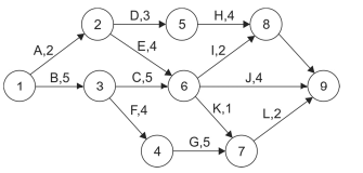
O planejamento de uma obra seguiu o cronograma PERT-CPM, conforme figura a seguir, onde as atividades são representadas por letras, seguidas de sua duração em dias.

Para que a obra seja entregue no tempo previsto, uma das atividades que não pode atrasar é aquela representada pela letra
Provas
Provas
Provas
Provas
Provas
Provas
- Gerenciamento, Planejamento e Controle de Obras
- Orçamento no Planejamento e Controle de Obras na Engenharia Civil
Provas
Provas
Caderno Container