Foram encontradas 1.168 questões.
Com relação a testes de sistemas de software, julgue o item a seguir.
Embora o JUnit apresente limitações, como a de não apoiar a aplicação de um critério de teste, esse framework pode ser utilizado ainda que estejam disponíveis apenas o bytecode e a especificação do programa.
Embora o JUnit apresente limitações, como a de não apoiar a aplicação de um critério de teste, esse framework pode ser utilizado ainda que estejam disponíveis apenas o bytecode e a especificação do programa.
Provas
Questão presente nas seguintes provas
515346
Ano: 2014
Disciplina: TI - Desenvolvimento de Sistemas
Banca: CESPE / CEBRASPE
Orgão: ANATEL
Disciplina: TI - Desenvolvimento de Sistemas
Banca: CESPE / CEBRASPE
Orgão: ANATEL
Provas:
No que diz respeito aos servlets, julgue os próximos itens.
Os servlets utilizam o modelo de solicitação/resposta HTTP de comunicação entre cliente e servidor
Os servlets utilizam o modelo de solicitação/resposta HTTP de comunicação entre cliente e servidor
Provas
Questão presente nas seguintes provas
Com base nos conceitos gerais e nas disciplinas de engenharia de software, julgue o próximo item.

Em um diagrama de sequência, como o mostrado na figura abaixo, deve-se usar um fragmento combinado com o operador de opt (opção) para representar uma escolha entre dois ou mais comportamentos.

Provas
Questão presente nas seguintes provas
No que diz respeito às estruturas de informação, julgue o item subsecutivo.
Considere a figura a seguir, que mostra os valores iniciais das pilhas p1 e p2, nas quais foram realizadas operações de empilhar (push) e desempilhar (pop), além de ter sido atribuído um valor para a variável x (x ← valor). Nesse caso, realizando-se as operações indicadas, na ordem listada, obtêm-se os valores finais das pilhas e da variável x mostrados.

Considere a figura a seguir, que mostra os valores iniciais das pilhas p1 e p2, nas quais foram realizadas operações de empilhar (push) e desempilhar (pop), além de ter sido atribuído um valor para a variável x (x ← valor). Nesse caso, realizando-se as operações indicadas, na ordem listada, obtêm-se os valores finais das pilhas e da variável x mostrados.

Provas
Questão presente nas seguintes provas
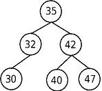
No que diz respeito às estruturas de informação, julgue o item subsecutivo.
A inserção dos elementos 47, 35, 40, 32, 42 e 30, nessa ordem, em uma árvore binária balanceada inicialmente vazia apresenta o resultado mostrado na figura abaixo, após a realização de todas as operações necessárias.

A inserção dos elementos 47, 35, 40, 32, 42 e 30, nessa ordem, em uma árvore binária balanceada inicialmente vazia apresenta o resultado mostrado na figura abaixo, após a realização de todas as operações necessárias.

Provas
Questão presente nas seguintes provas
No que diz respeito às estruturas de informação, julgue o item subsecutivo.
Percorrendo a árvore binária abaixo em pós-ordem, obtém-se o seguinte resultado: 1 * 2 – 3 / 4 + 5 * 6.

Percorrendo a árvore binária abaixo em pós-ordem, obtém-se o seguinte resultado: 1 * 2 – 3 / 4 + 5 * 6.

Provas
Questão presente nas seguintes provas
No que diz respeito aos conceitos e fundamentos de lógica de programação, julgue o item seguinte.
Por característica, o algoritmo quicksort apresenta melhor desempenho que o merge sort.
Por característica, o algoritmo quicksort apresenta melhor desempenho que o merge sort.
Provas
Questão presente nas seguintes provas
515340
Ano: 2014
Disciplina: TI - Desenvolvimento de Sistemas
Banca: CESPE / CEBRASPE
Orgão: ANATEL
Disciplina: TI - Desenvolvimento de Sistemas
Banca: CESPE / CEBRASPE
Orgão: ANATEL
Provas:
Julgue os itens a seguir, acerca de sistemas de gestão de conteúdo.
Um sistema de gestão eletrônica de documentos (GED) restringe-se a processar e arquivar documentos e imagens com a finalidade de fornecer dados para que outros sistemas especializados realizem consultas e difundam as informações coletadas.
Um sistema de gestão eletrônica de documentos (GED) restringe-se a processar e arquivar documentos e imagens com a finalidade de fornecer dados para que outros sistemas especializados realizem consultas e difundam as informações coletadas.
Provas
Questão presente nas seguintes provas
- AcessibilidadeDesenho Universal
- AcessibilidadeDiretrizes de Acessibilidade
- UX/UIEngenharia de Usabilidade
- UX/UIUsabilidade
A respeito de usabilidade, julgue o item subsecutivo.
Usabilidade de programas e conteúdo refere-se ao acesso a locais, produtos, serviços e informações disponíveis ao maior número e variedade possível de pessoas, independentemente da capacidade motora, cultural e social de cada uma delas.
Usabilidade de programas e conteúdo refere-se ao acesso a locais, produtos, serviços e informações disponíveis ao maior número e variedade possível de pessoas, independentemente da capacidade motora, cultural e social de cada uma delas.
Provas
Questão presente nas seguintes provas
Acerca dos servidores de aplicação e da Web, julgue os itens subsecutivos.
No IIS 7, cada aplicativo deve contar com, no mínimo, um diretório virtual que mapeie o aplicativo para o diretório físico em que o conteúdo do aplicativo esteja contido.
No IIS 7, cada aplicativo deve contar com, no mínimo, um diretório virtual que mapeie o aplicativo para o diretório físico em que o conteúdo do aplicativo esteja contido.
Provas
Questão presente nas seguintes provas
Cadernos
Caderno Container