Foram encontradas 295 questões.
Um profissional realizou uma análise de correlação de
Pearson para verificar a relação entre o reajuste tarifário
(X) e duas variáveis: o índice de perdas de água (Y) e
a cobertura de esgoto (Z). Os cálculos forneceram uma
correlação estimada de –0,92 entre X e Y e de 0,95 entre
X e Z.
Com base nesses resultados, a análise indica uma
Com base nesses resultados, a análise indica uma
Provas
Questão presente nas seguintes provas
Uma pesquisa com 100 funcionários de uma empresa investigou o número de dias da semana trabalhados em
regime de home office. Os dados observados estão na
tabela a seguir:
Com base nesses dados, o valor da variância populacional do número de dias da semana trabalhados em regime de home office é:
Com base nesses dados, o valor da variância populacional do número de dias da semana trabalhados em regime de home office é:
Provas
Questão presente nas seguintes provas
Foram amostrados sete relatórios que apresentaram
erros. Desses, dois continham apenas um erro, três apresentaram dois erros e os dois restantes apresentaram
quatro erros cada.
Considerando as estatísticas de média aritmética, média geométrica, moda e mediana do número de erros por relatórios, é correto afirmar que a
Considerando as estatísticas de média aritmética, média geométrica, moda e mediana do número de erros por relatórios, é correto afirmar que a
Provas
Questão presente nas seguintes provas
Uma empresa possui 500 funcionários, dos quais 30%
sabem se comunicar em Língua Brasileira de Sinais
(Libras). Um pesquisador, sem acesso a essas informações, deseja estimar essa proporção. Para isso, selecionou aleatoriamente 30 funcionários e verificou que, entre
eles, 20% sabiam se comunicar em Libras.
Considerando as definições de população e amostra, é correto afirmar que a
Considerando as definições de população e amostra, é correto afirmar que a
Provas
Questão presente nas seguintes provas
Um banco libera um crédito para uma empresa no valor
de R$ 240.000,00, à taxa de 5% a.s., para ser reembolsado em 5 parcelas semestrais, com dois semestres de
carência, a primeira parcela vencível ao final do terceiro
semestre.
Não há carência para os juros, nessas condições, o valor da última prestação, pelo sistema de amortização constante, foi
Não há carência para os juros, nessas condições, o valor da última prestação, pelo sistema de amortização constante, foi
Provas
Questão presente nas seguintes provas
Uma empresa tem títulos mensais a receber, um a cada
mês, no valor unitário de R$ 7.500,00, com o primeiro
vencendo em 30 dias e o último em 750 dias. Ela negociará todos esses títulos em um banco, mediante desconto comercial (desconto simples), com taxa mensal de
desconto de 4%.
O valor líquido que ela receberá na negociação será de
O valor líquido que ela receberá na negociação será de
Provas
Questão presente nas seguintes provas
Um financiamento de R$ 30.000,00 deverá ser amortizado, por meio do Sistema Francês, em parcelas
semestrais e consecutivas, com juros compostos de 5%
ao semestre.
Sabendo que, no terceiro semestre, o saldo devedor é de R$ 16.095,84, e a prestação no segundo semestre foi de R$ 5.910,52, o valor da amortização no quinto semestre será de, aproximadamente,
Sabendo que, no terceiro semestre, o saldo devedor é de R$ 16.095,84, e a prestação no segundo semestre foi de R$ 5.910,52, o valor da amortização no quinto semestre será de, aproximadamente,
Provas
Questão presente nas seguintes provas
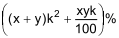
Sejam x, y e k números reais e positivos, então dois
aumentos consecutivos, um de xk% e outro de yk% correspondem a um aumento percentual igual a quanto?
Provas
Questão presente nas seguintes provas
Um projeto de investimento com vida útil de dois anos
prevê um investimento de R$ 12.000,00 na data inicial,
um fluxo de caixa de R$ 8.400,00 após o primeiro ano e
R$ 7.200,00 após o segundo ano. Não há valor residual.
A taxa interna de retorno (TIR) do projeto é de
A taxa interna de retorno (TIR) do projeto é de
Provas
Questão presente nas seguintes provas
Um equipamento é vendido por R$ 7.532,21 em dois
pagamentos iguais, sem acréscimos, o primeiro no ato
da compra e o segundo um mês após a compra. Para
pagamento à vista, há um desconto de 4% sobre o preço
de R$ 7.532,21.
A taxa mensal de juros é, aproximadamente, igual a
A taxa mensal de juros é, aproximadamente, igual a
Provas
Questão presente nas seguintes provas
Cadernos
Caderno Container