Foram encontradas 60 questões.
Uma sequência de números reais tem seu termo geral,
an , dado por an
= 4.23n+1, para n ≥ 1.
Essa sequência é uma progressão
Essa sequência é uma progressão
Provas
Questão presente nas seguintes provas
Em uma empresa, o total de descontos que incidem sobre
o salário bruto de cada funcionário é proporcional ao valor
desse mesmo salário bruto. Um funcionário F1
tem salário
líquido igual a S1, calculado após a incidência do total de
descontos igual a x1
reais. Um funcionário F2
tem salário
líquido igual a S2, calculado após a incidência do total de
descontos igual a x2
reais.
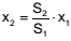
O total de descontos x2 é tal que
O total de descontos x2 é tal que
Provas
Questão presente nas seguintes provas

Provas
Questão presente nas seguintes provas

Provas
Questão presente nas seguintes provas

Provas
Questão presente nas seguintes provas

A alteração que NÃO respeita a norma-padrão é:
Provas
Questão presente nas seguintes provas

Provas
Questão presente nas seguintes provas

Provas
Questão presente nas seguintes provas

Provas
Questão presente nas seguintes provas

Provas
Questão presente nas seguintes provas
Cadernos
Caderno Container