Foram encontradas 60 questões.
Provas
- Gerenciamento de ProcessosCiclo de Vida de Processos
- Gerenciamento de ProcessosProcesso (Programa em Execução)
Provas
- Fundamentos de Sistemas OperacionaisArquitetura de Sistemas Operacionais
- Fundamentos de Sistemas OperacionaisSubsistema de Entrada e Saída
- Sistemas de Arquivos
Provas
- CMMI: Capability Maturity Model IntegrationCMMI v1.3
- CMMI: Capability Maturity Model IntegrationCMMI-ACQ
- CMMI: Capability Maturity Model IntegrationCMMI-DEV v1.3
- CMMI: Capability Maturity Model IntegrationCMMI-SVC
Provas
- Gestão de ServiçosITILITIL v4
- Governança de TIPlanejamento EstratégicoAlinhamento Estratégico entre TI e Negócios
Provas
- Backup e RecuperaçãoTipos de BackupBackup Completo
- Backup e RecuperaçãoTipos de BackupBackup Diferencial
- Backup e RecuperaçãoTipos de BackupBackup Incremental
Um backup full é realizado inicialmente e, nos backups subsequentes, são copiados apenas os dados alterados ou criados desde o último backup.
Disponível em: <http://www.aliancatecnologia.com> . Acesso em: 8 ago. 2019, com adaptações.
Acerca do tema do texto, existe um tipo de backup que faz a cópia de todos os dados que foram modificados desde o último backup de qualquer tipo. Qual é esse tipo de backup referido?
Provas
- Protocolos e ServiçosRedes, Roteamento e Transporte
- TCP/IPIPv4
- TCP/IPIPv6
- TCP/IPUDP: User Datagram Protocol
Provas

A respeito do diagrama apresentado, assinale a alternativa correta.
Provas
A pilha é uma estrutura de dados que permite a inserção e a remoção desses dados sempre por meio de regras predefinidas. Para que essas operações sejam realizadas, são utilizadas duas funções: push e pop. Com base nessa informação, considere que um programa possua uma pilha p, inicialmente vazia, e que as seguintes operações foram realizadas: PUSH(p, 10); PUSH(p, 5); PUSH(p, 3); PUSH(p, 50); POP(p); PUSH(p, 11); PUSH(p, 9); PUSH(p, 20); POP(p); POP(p).
Ao fim da execução desses comandos, quais serão o topo da pilha e o somatório dos elementos ainda dentro da pilha, respectivamente?
Provas

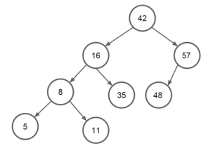
Considere a árvore binária apresentada.
Percorrer essa árvore utilizando o algoritmo de pre-oder resultará na seguinte sequência:
Provas
Caderno Container