Foram encontradas 82 questões.

The expression ‘green-rimmed button’ (l.04):
I. Contains an adverb and a noun.
II. Contains a compound adjective.
III. Could be translated as “botão verde vivo”.
Which ones are correct?
Provas

Provas
Provas
Provas
Provas
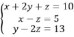
A solução do seguinte sistema linear
é:
Provas
Considere as seguintes
matrizes:
, a
solução de C x B + A é:
Provas
Provas

Analise as seguintes propostas de alteração de palavras e expressões do texto:
I. Substituição de ‘preenchidos’ (l. 04) por ‘completados’.
II. Substituição de ‘muita gente’ (l. 22) por ‘todas as pessoas’.
III. Supressão de ‘não’ (l. 40).
Quais causam alteração no sentido, desconsiderando eventuais mudanças sintáticas?
Provas

Relacione a Coluna 1 à Coluna 2, considerando as ideias contidas no texto.
Coluna 1
1. Procrastinadores.
2. Precrastinadores.
Coluna 2
( ) Adiam as tarefas para depois.
( ) Realizam as tarefas assim que a recebem.
( ) Começam a tarefa antes para deixá-la perfeita.
( ) Por fazerem a tarefa no último minuto, atingem o adequado, não o perfeito.
A ordem correta de preenchimento dos parênteses, de cima para baixo, é:
Provas
Caderno Container