Foram encontradas 50 questões.
Considere a reação química:

Dados os seguintes valores de entalpias padrão de formação:

assinale a alternativa que apresenta o valor da entalpia padrão da reação a 298 K.

Dados os seguintes valores de entalpias padrão de formação:

assinale a alternativa que apresenta o valor da entalpia padrão da reação a 298 K.
Provas
Questão presente nas seguintes provas
Assinale a afirmativa INCORRETA em relação à caracterização e ao tratamento de efluentes líquidos.
Provas
Questão presente nas seguintes provas
Assinale a afirmativa INCORRETA em relação ao projeto e ao desempenho de ciclones.
Provas
Questão presente nas seguintes provas
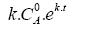
Uma reação de isomerização de A em B segue uma reação de primeira ordem com velocidade específica k. Assinale a alternativa que contém a expressão da taxa de geração de B no interior de um reator batelada a partir de uma solução isenta de B e cuja concentração de A é dada por 

Provas
Questão presente nas seguintes provas
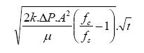
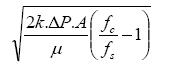
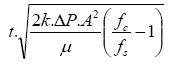
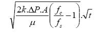
Considere a filtração em filtro prensa de uma suspensão cuja fração volumétrica de sólidos é "fs". Se "k" é a permeabilidade da torta formada,
é a queda de pressão no equipamento (mantida constante), "fc" é a fração volumétrica de sólidos na torta,
é a viscosidade do fluido e "A" é a área da seção reta do filtro. Assinale a alternativa que contém a expressão correta para o volume de filtrado em função do tempo "t".
é a queda de pressão no equipamento (mantida constante), "fc" é a fração volumétrica de sólidos na torta,
é a viscosidade do fluido e "A" é a área da seção reta do filtro. Assinale a alternativa que contém a expressão correta para o volume de filtrado em função do tempo "t".Provas
Questão presente nas seguintes provas
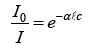
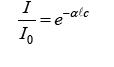
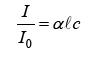
Um equipamento muito empregado em análises de água é o espectrofotômetro (representado em forma simplificada na figura a seguir). Em muitas situações práticas, considera-se válida - para o uso em espectrofotometria - uma lei empírica conhecida como Lei de Lambert-Beer. Sendo
a radiação incidente, I a radiação transmitida, c a concentração do material em estudo,
o caminho percorrido no interior da solução e
a absortividade da substância, assinale a alternativa que apresenta corretamente a expressão da Lei de Lambert-Beer.

a radiação incidente, I a radiação transmitida, c a concentração do material em estudo,
o caminho percorrido no interior da solução e
a absortividade da substância, assinale a alternativa que apresenta corretamente a expressão da Lei de Lambert-Beer.
Provas
Questão presente nas seguintes provas
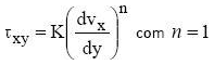
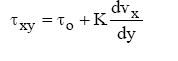
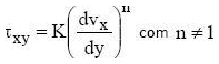
O modelo que descreve o comportamento reológico de um fluido de Bingham é dado por (onde
é a tensão de cisalhamento,
é o gradiente de velocidade e
são parâmetros empíricos)
é a tensão de cisalhamento,
é o gradiente de velocidade e
são parâmetros empíricos)Provas
Questão presente nas seguintes provas
Uma mistura binária é formada pelos componentes A e B. A uma certa temperatura T, a pressão de saturação de A puro é
bar e a pressão de saturação de B puro é
bar. Se a fração molar do componente A na fase líquida é 0,7, assinale a alternativa que representa corretamente a pressão de ponto de bolha e a fração molar de A na fase vapor, respectivamente.
Considere fase líquida solução ideal e fase vapor gás ideal.
bar e a pressão de saturação de B puro é
bar. Se a fração molar do componente A na fase líquida é 0,7, assinale a alternativa que representa corretamente a pressão de ponto de bolha e a fração molar de A na fase vapor, respectivamente.Considere fase líquida solução ideal e fase vapor gás ideal.
Provas
Questão presente nas seguintes provas
Assinale a alternativa correta.
Provas
Questão presente nas seguintes provas
Um tanque de diâmetro muito maior que a altura contém fluido de densidade 0,7, sendo o espaço acima da superfície do líquido mantido a uma pressão de 25 mmHg (manométrica). Sabendo que a densidade do mercúrio é 14, assinale a alternativa que contém o valor que mais se aproxima da velocidade de saída do fluido por um pequeno orifício localizado 1,5 m abaixo da superfície do fluido.
Provas
Questão presente nas seguintes provas
Cadernos
Caderno Container