Foram encontradas 1.182 questões.
Na análise de BTEX em amostras de água por cromatografia gasosa com headspace e detector de massas, a escolha da coluna cromatográfica e as condições de análise são cruciais para a obtenção de resultados precisos e confiáveis. A respeito da otimização da separação dos compostos BTEX, assinale a opção correta.
Provas
Os éteres são substâncias que têm dois grupos orgânicos ligados a um átomo de oxigênio, que pode estar em uma cadeia aberta ou formar um anel. Esses compostos têm aplicação na indústria: por exemplo, o etilenoglicol é produzido para uso como anticongelante adicionado ao líquido de radiadores de automóveis. A seguinte figura representa a reação de síntese do etilenoglicol.

De acordo com o texto e a ilustração precedentes, assinale a opção correta.
Provas
Em relação a álcoois, assinale a opção correta.
Provas

Com base na figura apresentada, que corresponde à fórmula estrutural do 7-etenil-4-metil-5,8-decadien-1-ino, assinale a opção correta acerca dos tipos de ligações de carbono na molécula em questão.
Provas
Acerca de polímeros, julgue os itens a seguir.
I As pontes de dissulfeto diminuem a durabilidade da borracha vulcanizada.
II Elastômeros são materiais que, depois de serem esticados, voltam à sua forma original.
III Os elastômetros são polímeros conhecidos como borracha sintética devido à sua completa diferença estrutural com a borracha natural.
IV Pneus de automóveis são feitos de borracha vulcanizada, o que garante sua resistência a agentes químicos e ao calor.
Estão certos apenas os itens
Provas
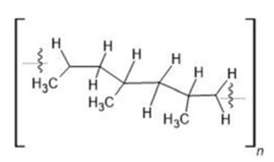
O polipropileno, cuja fórmula estrutural está apresentada a seguir, é formado por um único tipo de monômero de cadeia carbônica insaturada, por isso é classificado como polímero de adição. Sua aplicação é muito diversificada, sendo empregado, por exemplo, na confecção de cordas, de pente de cabelo, de copos, de botões de roupa etc.

Considerando as informações anteriores, assinale a opção que corresponde à estrutura do monômero capaz de formar o polipropileno.
Provas
O petróleo é originado de fósseis subterrâneos. Após sua extração do subsolo, ele é transportado para as refinarias, onde passa por um processamento para separação das frações de compostos de acordo com as massas moleculares. A gasolina, fabricada a partir do petróleo, é uma mistura de hidrocarbonetos que têm de 6 a 10 átomos de carbono.
A partir das informações precedentes, assinale a opção correta.
Provas
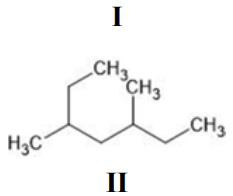
As cadeias carbônicas podem ser representadas na forma condensada, como em I, em que não se destacam os traços que representam as ligações entre os átomos; na forma de traços ou zigue-zague, como em II, que se aproxima mais do modelo real da cadeia carbônica, por considerar os ângulos das ligações entre os átomos; ou na forma estendida, que mostra cada ligação carbono-carbono e carbono-hidrogênio.
(CH3)3CCH2CH2CH2C(CH3)2CH2CH(CH2CH3)CH2CH3

Considerando as informações apresentadas, assinale a opção que mostra a cadeia carbônica na forma de traços correspondente a I.
Provas
A transformação de amônia em nitrogênio molecular pode ocorrer durante o tratamento de água com cloro molecular, conforme equação química a seguir.
2 NH3 (g) + 3 Cl2 (g) → N2 (g) + 6 HCl (g)
Considerando que essa reação foi estudada em um reator fechado e com todos os reagentes em fase gasosa, é correto afirmar que
Provas
A decomposição de O3 é uma reação espontânea que é acelerada pela ação do radical cloro (Cl•) de acordo com as equações químicas descritas a seguir.
\(\begin{array}{rcl} Cl^{\cdot} + O_3 & \rightarrow & ^{\cdot}ClO + O_2 \\ ^{\cdot}ClO + ^{\cdot}O & \rightarrow & ^{\cdot}Cl + O_2 \\ \hline O_3 + O & \rightarrow & 2O_2 \end{array}\)
Como base nessas informações, assinale a opção em que é apresentado o gráfico de variação de energia livre em função da coordenada de reação que representa corretamente a decomposição de O3 acelerada por Cl•.
Provas
Caderno Container