Foram encontradas 50 questões.
O supervisor de uma determinada empresa de usinagem recebeu uma encomenda para torneamento de 3 eixos para equipamentos de modelos diferentes. Como os eixos irão receber usinagem em outras máquinas operatrizes, o supervisor necessita saber o tempo de usinagem de cada eixo para programar a movimentação das peças dentro do setor de fabricação. De acordo com o material de cada eixo, foram informados os seguintes dados de corte:
|
Comprimento torneado |
Velocidade de corte |
Avanço de |
Diâmetro |
|
|
EIXO 1 |
300 mm | 100 m/min | 0,25 mm/rot |
50 mm |
|
EIXO 2 |
250 mm | 150 m/min | 0,20 mm/rot |
40 mm |
|
EIXO 3 |
200 mm | 170 m/min | 166 mm/rot |
65 mm |
De acordo com os dados fornecidos, em relação aos tempos T1 (tempo de usinagem do eixo 1), T2 (tempo de usinagem do eixo 2) e T3 (tempo de usinagem do eixo 3) pode-se afirmar que:
Provas
Após a fresagem do tipo de encaixe conhecido comumente como “rabo de andorinha”, representado na figura abaixo, é necessário inspecionar as cotas usinadas.

Para controlar a qualidade deste tipo de usinagem é necessário o seguinte:
•Utilizar dois roletes retificados e de diâmetros iguais colocados nos encaixes;
•Fazer o cálculo da distância entre esses dois roletes;
•Confrontar o valor medido com o valor calculado.
Analisando a figura acima com o desenho do tipo de encaixe mencionado e, considerando \( \sqrt{ } \) 2=1,414 e \( \sqrt{ } \) 3=1,732, o valor calculado da cota “X” em mm, representado com aproximação para duas casas decimais é:
Provas
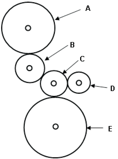
A figura a seguir mostra a representação esquemática de uma transmissão por engrenagens, cujos números de dentes são: A = 30, B = 20, C = não fornecido, D = 10 e E = 50. O círculo no interior de cada engrenagem mostra o eixo onde elas estão fixadas por meio de chavetas.

Desprezando as perdas inerentes à transmissão e sabendo que a engrenagem de 30 dentes gira a 1500 rotações por minuto, o número de rotações por minuto com o qual a engrenagem de 50 dentes gira é igual a:
Provas
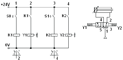
O circuito da figura abaixo será usado para testes de acionamento eletropneumático de comporta superficial para estação de água e efluentes.

Acerca de seu funcionamento e características operacionais, é correto afirmar:
Provas
Provas
Provas
Provas
Provas
Provas
Provas
Caderno Container