Magna Concursos

Foram encontradas 267 questões.

1333955 Ano: 2012
Disciplina: Fonoaudiologia
Banca: CETAP
Orgão: Câm. Ananindeua-PA
Com relação à gagueira, marque a alternativa CORRETA:
 

Provas

Questão presente nas seguintes provas
1333912 Ano: 2012
Disciplina: Português
Banca: CETAP
Orgão: Câm. Ananindeua-PA
Sapo
Vítima de sua aparência desagradável, é considerado uma criatura peçonhenta, como a cobra e a salamandra. E isso desde a Antiguidade, pois Plínio, o Velho, já mencionava diversos remédios para evitar as consequências fatais de sua mordida. O animal também está associado às práticas de feitiçaria.
Em :Vítima de sua aparência desagrádavel (...)", a palavra "sua" está se referindo:
 

Provas

Questão presente nas seguintes provas
1333753 Ano: 2012
Disciplina: Português
Banca: CETAP
Orgão: Câm. Ananindeua-PA
Analise o fragmento e marque a alternativa com a afirmação INCORRETA: "Meu Deus, onde foi que eu errei?"
 

Provas

Questão presente nas seguintes provas
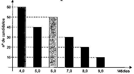
1333745 Ano: 2012
Disciplina: Matemática
Banca: CETAP
Orgão: Câm. Ananindeua-PA
Analise o gráfico Figura seguinte que representa as médias dos candidatos que prestaram um concurso público.
Enunciado 1333745-1
Sabendo que a média para aprovação neste concurso foi maior ou igual a 7,0, qual foi a porcentagem dos candidatos aprovados?
 

Provas

Questão presente nas seguintes provas

A Constituição da República, por sua vez, arrola os bens da União no art. 20. Contudo, tal rol não é exaustivo, mas exemplificativo, pois o inciso I do citado dispositivo constitucional generaliza e ressalva a possibilidade de novos bens serem atribuídos à União. Sobre o assunto, pode-se afirmar que apenas NÃO são bens da União:

 

Provas

Questão presente nas seguintes provas
1333673 Ano: 2012
Disciplina: Português
Banca: CETAP
Orgão: Câm. Ananindeua-PA

Andorinha

Anunciadora da primavera, ela constrói seu ninho nas janelas das casas. De acordo com a tradição popular cristã, as andorinhas chegam no dia da Anunciação, 25 de março, e partem no dia da Natividade da Virgem, 8 de setembro.

Todas as palavras seguintes tem a letra inicial igual a "janelas", EXCETO:

 

Provas

Questão presente nas seguintes provas
1333664 Ano: 2012
Disciplina: Matemática
Banca: CETAP
Orgão: Câm. Ananindeua-PA
Gastei 0,15 do meu salario com a prestação da casa e 0,20 com alimentação. O meu salário é igual a R$1.200,00.
Quanto ainda me sobrou para outras despesas?
 

Provas

Questão presente nas seguintes provas
Marketing Revolucionário
Os protestos que tomaram o planeta têm um ponto em comum: táticas de publicidade para atrair simpatizantes.
Quando o Greenpeace descobriu que o papel das embalagens da Mattel, maior fabricante de brinquedos do mundo, vinha de uma empresa que destrói as florestas tropícais da Indonésia, fez uma novela em que o Ken rompe com a Barbie. "Não vou namorar uma garota que contríbui com o desmatamento", dizia o brinquedo em junho deste ano. O fim do relacionamento foi encenado nas ruas de várias cidades ao mesmo tempo e em filmes de animação. Meninas que brincaram de Barbie na infância não resistiram e espalharam os links com os vídeos da ação no Facebook e no Twitter. Resultado: a Mattel mudou seu fornecedor de papel. Para o estrategista de mídias sociais do Greenpeace, Chris Eaton, o sucesso da campanha tem uma explicação: o bom humor. "Tem que ser divertido. Quando é uma piada, as pessoas querem passar adiante", diz o americano.
O movimento Occupy, que tomou o mundo, é outro exemplo de como o humor invadiu o mundo dos protestos. O movimento começou com cerca de 100 pessoas acampando perto de Wall Street, o centro financeiro de Nova York, em 17 de setembro. As demandas do grupo são várias - mais controle sobre o mercado financeiro, fim das guerras, legalização da maconha... No fundo, são exigências parecidas com as dos movimentos de esquerda que tomaram Paris (e depois o mundo) em 1968. Quase meio século de distância e tudo igual, certo? Errado. Existe um elemento hoje que você não encontrava nas ruas de Paris: o humor.
A comparação dos principais slogans já ajuda a ver semelhanças e diferenças. Enquanto a turma de maio de 1968 pichava nos muros que "Nós somos o povo", direto, sem metáforas, a de setembro de 2011 diz que somos "os 99%" (o 1%, no caso, seria a elite de "privilegiados" - banqueiros, altos executivos e cia. A idéia por trás de cada slogan é a mesma, mas o de 2011 tem um novo tempero. O pôster mais famoso de 1968, por exemplo, era um punho fechado acompanhado da frase "A luta contínua". Já a cara do Occupy é a máscara de Guy de Faux, o herói antiestablishment que ficou famoso com o filme V de Vingança. Uma cara de Hollywood, que deixou a causa bem mais pop. Nos cartazes, pouco de "A luta contínua" ou "Morte aos burgueses", e muito de "Está entediado? Venha protestar com a gente. É legal" ou "Ocupa a Tundra". Pois é: fazer piada com o próprio movimento também vale. Afinal, os manifestantes do século 21 aprendem que a boa mensagem não é a palavra de ordem nua e crua.
O poder da brincadeira é tão grande que às vezes ela não precisa nem ser uma causa de verdade para que as pessoas queiram aderir, como aconteceu no caso do "churrascão da gente diferenciada". Os jornais de São Paulo já cobriam a polêmica sobre a localização de uma estação de metrô no bairro de Higienópolis, de classe média alta, quando um morador queixou-se de que uma estação desvalorizada a região ao facilitar a chegada de uma "gente diferenciada". Um rapaz aproveitou a deixa e marcou o evento no Facebook. Era para ser apenas uma piada, só que em poucos dias mais de 50 mil pessoas confirmaram presença. Com medo, o autor da brincadeira desmarcou o evento, mas era tarde. A piada já tinha virado uma manifestação de verdade, e mais de 600 pessoas se reuniram no coração de Higienópolis para tornar cerveja e comer carne grelhada. É claro que o sucesso de um movimento político depende de outros ingredientes, como identificação com o público e planejamento. Mas, sem verve publicitária, sem algum humor, um #ocuppy da vida não chega aos trending topics do Twitter - e sem chegar lá primeiro a causa não chega a lugar nenhum.
Fonte: SUPERINTERESSANTE, dezembro de 2011. Adaptado.
O significado da palavra está INCORRETO na alternativa:
 

Provas

Questão presente nas seguintes provas
1333568 Ano: 2012
Disciplina: Matemática
Banca: CETAP
Orgão: Câm. Ananindeua-PA
Gastei 0,15 do meu salario com a prestação da casa e 0,20 com alimentação. O meu salário é igual a R$1.200,00.
Quanto gastei com alimentação?
 

Provas

Questão presente nas seguintes provas
1333540 Ano: 2012
Disciplina: Direito Administrativo
Banca: CETAP
Orgão: Câm. Ananindeua-PA
A respeito do regime jurídico único dos servidores públicos civis instítuido pela Lei nº 8.112/90 e alterações posteriores, marque a alternativa CORRETA:
 

Provas

Questão presente nas seguintes provas