Magna Concursos

Foram encontradas 50 questões.

1118621 Ano: 2016
Disciplina: Matemática
Banca: IBFC
Orgão: Câm. Araraquara-SP
Uma reta r passa pelo ponto P(3,2) e pelo ponto que representa o centro da circunferência de equação (x-2)2 + ( x + 3)2 = 9. Nessas condições, a equação da reta r é dada por:
 

Provas

Questão presente nas seguintes provas
1118618 Ano: 2016
Disciplina: Matemática
Banca: IBFC
Orgão: Câm. Araraquara-SP
A imagem da função f(x) = 22x -3, sendo que o valor de x é a maior raiz da função f(x) = x2 - 5x + 4, é:
 

Provas

Questão presente nas seguintes provas
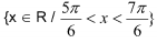
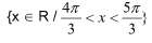
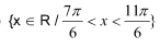
1118611 Ano: 2016
Disciplina: Matemática
Banca: IBFC
Orgão: Câm. Araraquara-SP
A solução da inequação 2.sen(x) < -1, para 0 ≤ x ≤ 2 π , é:
 

Provas

Questão presente nas seguintes provas
1118606 Ano: 2016
Disciplina: Português
Banca: IBFC
Orgão: Câm. Araraquara-SP
Assinale a alternativa correta. O texto abaixo indica: O estudante se dedica aos estudos a fim de se preparar bem, já que este é seu objetivo
 

Provas

Questão presente nas seguintes provas
1118603 Ano: 2016
Disciplina: Português
Banca: IBFC
Orgão: Câm. Araraquara-SP
Analise as afirmativas abaixo e assinale a alternativa correta. A minha opinião vai de encontro a sua. Para substituir, sem alteração de sentido, a expressão destacada na frase acima podemos selecionar por:
 

Provas

Questão presente nas seguintes provas
1118602 Ano: 2016
Disciplina: Português
Banca: IBFC
Orgão: Câm. Araraquara-SP

O estudo científico da comunicação: avanços teóricos e metodológicos ensejados pela escola latino-americana

INTRODUÇÃO

A sociedade moderna está cercada de todos os lados pelos vários sistemas de comunicação. Estudar a comunicação social é uma necessidade atual de todos os povos em qualquer parte do mundo. Conhecer e dominar os sistemas de informação e da comunicação é indispensável no mundo globalizado. Estamos iniciando os últimos passos para a saída do século XX e os primeiros para a entrada do século XXI. Neste período de transição o ser humano vive momentos de incertezas da comunicação e de (in)comunicação, das crises políticas, culturais, econômicas e religiosas. As distâncias na sociedade contemporânea estão cada vez mais próximas, quer seja pelos modernos meios de transporte ou pelas telecomunicações via satélite, Internet, etc. Com as novas tecnologias, a velocidade da informação e o processo comunicacional tomam-se cada vez mais complexos e conseqüentemente de mais difícil compreensão.

No início do século XX o impacto sociocultural e econômico se deu com a revolução industrial. O século XXI está chegando sob o impacto da revolução dos meios de comunicação e das novas tecnologias da informação. É inegável a importância dos meios de comunicação social e sua influência na complexa sociedade globalizada. Desta forma, estudaras mídias passou a ser uma prioridade no campo das interações sociais. É necessário investigar, compreender e formular teorias de comunicação que possam atender os interesses da sociedade no mundo globalizado. Em busca desse objetivo resolvemos fazer algumas reflexões sobre os paradigmas existentes e tentar abrir algumas brechas que possam contribuir na formatação de novos ingredientes colaboradores do processo de interpretação e explicação da realidade atual. É neste mundo globalizado que o homem vive atualmente e dele retira as informações que irão contribuir para ampliação dos seus conhecimentos e das suas experiências.

http://www2.metodista.br/unesco/PCLA/revista6/artiao%206-3.htm - acesso em 03/05/2016.

Analise a citação abaixo e substitua o termo grifado por outro que não altere seu sentido. Desta forma, estudar as mídias passou a ser uma prioridade no campo das interações sociais.
 

Provas

Questão presente nas seguintes provas
1118595 Ano: 2016
Disciplina: Português
Banca: IBFC
Orgão: Câm. Araraquara-SP

O estudo científico da comunicação: avanços teóricos e metodológicos ensejados pela escola latino-americana

INTRODUÇÃO

A sociedade moderna está cercada de todos os lados pelos vários sistemas de comunicação. Estudar a comunicação social é uma necessidade atual de todos os povos em qualquer parte do mundo. Conhecer e dominar os sistemas de informação e da comunicação é indispensável no mundo globalizado. Estamos iniciando os últimos passos para a saída do século XX e os primeiros para a entrada do século XXI. Neste período de transição o ser humano vive momentos de incertezas da comunicação e de (in)comunicação, das crises políticas, culturais, econômicas e religiosas. As distâncias na sociedade contemporânea estão cada vez mais próximas, quer seja pelos modernos meios de transporte ou pelas telecomunicações via satélite, Internet, etc. Com as novas tecnologias, a velocidade da informação e o processo comunicacional tomam-se cada vez mais complexos e conseqüentemente de mais difícil compreensão.

No início do século XX o impacto sociocultural e econômico se deu com a revolução industrial. O século XXI está chegando sob o impacto da revolução dos meios de comunicação e das novas tecnologias da informação. É inegável a importância dos meios de comunicação social e sua influência na complexa sociedade globalizada. Desta forma, estudaras mídias passou a ser uma prioridade no campo das interações sociais. É necessário investigar, compreender e formular teorias de comunicação que possam atender os interesses da sociedade no mundo globalizado. Em busca desse objetivo resolvemos fazer algumas reflexões sobre os paradigmas existentes e tentar abrir algumas brechas que possam contribuir na formatação de novos ingredientes colaboradores do processo de interpretação e explicação da realidade atual. É neste mundo globalizado que o homem vive atualmente e dele retira as informações que irão contribuir para ampliação dos seus conhecimentos e das suas experiências.

http://www2.metodista.br/unesco/PCLA/revista6/artiao%206-3.htm - acesso em 03/05/2016.

Leia as opções abaixo e indique a que altera a conjugação para o tempo futuro de maneira correta. É necessário investigar, compreender e formular teorias de comunicação que possam atender os interesses da sociedade no mundo globalizado.
 

Provas

Questão presente nas seguintes provas
1118593 Ano: 2016
Disciplina: Português
Banca: IBFC
Orgão: Câm. Araraquara-SP

O estudo científico da comunicação: avanços teóricos e metodológicos ensejados pela escola latino-americana

INTRODUÇÃO

A sociedade moderna está cercada de todos os lados pelos vários sistemas de comunicação. Estudar a comunicação social é uma necessidade atual de todos os povos em qualquer parte do mundo. Conhecer e dominar os sistemas de informação e da comunicação é indispensável no mundo globalizado. Estamos iniciando os últimos passos para a saída do século XX e os primeiros para a entrada do século XXI. Neste período de transição o ser humano vive momentos de incertezas da comunicação e de (in)comunicação, das crises políticas, culturais, econômicas e religiosas. As distâncias na sociedade contemporânea estão cada vez mais próximas, quer seja pelos modernos meios de transporte ou pelas telecomunicações via satélite, Internet, etc. Com as novas tecnologias, a velocidade da informação e o processo comunicacional tomam-se cada vez mais complexos e conseqüentemente de mais difícil compreensão.

No início do século XX o impacto sociocultural e econômico se deu com a revolução industrial. O século XXI está chegando sob o impacto da revolução dos meios de comunicação e das novas tecnologias da informação. É inegável a importância dos meios de comunicação social e sua influência na complexa sociedade globalizada. Desta forma, estudaras mídias passou a ser uma prioridade no campo das interações sociais. É necessário investigar, compreender e formular teorias de comunicação que possam atender os interesses da sociedade no mundo globalizado. Em busca desse objetivo resolvemos fazer algumas reflexões sobre os paradigmas existentes e tentar abrir algumas brechas que possam contribuir na formatação de novos ingredientes colaboradores do processo de interpretação e explicação da realidade atual. É neste mundo globalizado que o homem vive atualmente e dele retira as informações que irão contribuir para ampliação dos seus conhecimentos e das suas experiências.

http://www2.metodista.br/unesco/PCLA/revista6/artiao%206-3.htm - acesso em 03/05/2016.

O texto trata do rompimento de paradigma. Assinale a alternativa que indica um sinônimo para o termo citado.
 

Provas

Questão presente nas seguintes provas
1118592 Ano: 2016
Disciplina: Português
Banca: IBFC
Orgão: Câm. Araraquara-SP

O estudo científico da comunicação: avanços teóricos e metodológicos ensejados pela escola latino-americana

INTRODUÇÃO

A sociedade moderna está cercada de todos os lados pelos vários sistemas de comunicação. Estudar a comunicação social é uma necessidade atual de todos os povos em qualquer parte do mundo. Conhecer e dominar os sistemas de informação e da comunicação é indispensável no mundo globalizado. Estamos iniciando os últimos passos para a saída do século XX e os primeiros para a entrada do século XXI. Neste período de transição o ser humano vive momentos de incertezas da comunicação e de (in)comunicação, das crises políticas, culturais, econômicas e religiosas. As distâncias na sociedade contemporânea estão cada vez mais próximas, quer seja pelos modernos meios de transporte ou pelas telecomunicações via satélite, Internet, etc. Com as novas tecnologias, a velocidade da informação e o processo comunicacional tomam-se cada vez mais complexos e conseqüentemente de mais difícil compreensão.

No início do século XX o impacto sociocultural e econômico se deu com a revolução industrial. O século XXI está chegando sob o impacto da revolução dos meios de comunicação e das novas tecnologias da informação. É inegável a importância dos meios de comunicação social e sua influência na complexa sociedade globalizada. Desta forma, estudaras mídias passou a ser uma prioridade no campo das interações sociais. É necessário investigar, compreender e formular teorias de comunicação que possam atender os interesses da sociedade no mundo globalizado. Em busca desse objetivo resolvemos fazer algumas reflexões sobre os paradigmas existentes e tentar abrir algumas brechas que possam contribuir na formatação de novos ingredientes colaboradores do processo de interpretação e explicação da realidade atual. É neste mundo globalizado que o homem vive atualmente e dele retira as informações que irão contribuir para ampliação dos seus conhecimentos e das suas experiências.

http://www2.metodista.br/unesco/PCLA/revista6/artiao%206-3.htm - acesso em 03/05/2016.

Leia as afirmações abaixo e assinale a alternativa que destaca o problema presente no texto.
 

Provas

Questão presente nas seguintes provas
1118591 Ano: 2016
Disciplina: Português
Banca: IBFC
Orgão: Câm. Araraquara-SP

O estudo científico da comunicação: avanços teóricos e metodológicos ensejados pela escola latino-americana

INTRODUÇÃO

A sociedade moderna está cercada de todos os lados pelos vários sistemas de comunicação. Estudar a comunicação social é uma necessidade atual de todos os povos em qualquer parte do mundo. Conhecer e dominar os sistemas de informação e da comunicação é indispensável no mundo globalizado. Estamos iniciando os últimos passos para a saída do século XX e os primeiros para a entrada do século XXI. Neste período de transição o ser humano vive momentos de incertezas da comunicação e de (in)comunicação, das crises políticas, culturais, econômicas e religiosas. As distâncias na sociedade contemporânea estão cada vez mais próximas, quer seja pelos modernos meios de transporte ou pelas telecomunicações via satélite, Internet, etc. Com as novas tecnologias, a velocidade da informação e o processo comunicacional tomam-se cada vez mais complexos e conseqüentemente de mais difícil compreensão.

No início do século XX o impacto sociocultural e econômico se deu com a revolução industrial. O século XXI está chegando sob o impacto da revolução dos meios de comunicação e das novas tecnologias da informação. É inegável a importância dos meios de comunicação social e sua influência na complexa sociedade globalizada. Desta forma, estudaras mídias passou a ser uma prioridade no campo das interações sociais. É necessário investigar, compreender e formular teorias de comunicação que possam atender os interesses da sociedade no mundo globalizado. Em busca desse objetivo resolvemos fazer algumas reflexões sobre os paradigmas existentes e tentar abrir algumas brechas que possam contribuir na formatação de novos ingredientes colaboradores do processo de interpretação e explicação da realidade atual. É neste mundo globalizado que o homem vive atualmente e dele retira as informações que irão contribuir para ampliação dos seus conhecimentos e das suas experiências.

http://www2.metodista.br/unesco/PCLA/revista6/artiao%206-3.htm - acesso em 03/05/2016.

Analise as afirmativas e dê valores Verdadeiro (V) ou Falso (F). ( )No século XX, a Revolução Industrial influenciou diretamente o processo de comunicação. ( ) Ainda há a necessidade de se aprimorar os estudos sobre comunicação e apresentá-lo à sociedade atual. ( ) A distância entre as pessoas na sociedade antiga pode ser um dos grandes problemas na comunicação. ( ) Estudar as mídias sociais é algo dispensável para a sociedade que se encontra na transição do século XX para o XXI.
 

Provas

Questão presente nas seguintes provas