Magna Concursos

Foram encontradas 56 questões.

143952 Ano: 2018
Disciplina: Atendimento ao Público
Banca: FAUEL
Orgão: Câm. Assaí-PR
Provas:
Várias são as habilidades técnicas e comportamentais que um servidor público deve desenvolver para oferecer um atendimento de qualidade. Todas as alternativas abaixo trazem habilidades positivas e necessárias, EXCETO:
 

Provas

Questão presente nas seguintes provas
143951 Ano: 2018
Disciplina: Atendimento ao Público
Banca: FAUEL
Orgão: Câm. Assaí-PR
Provas:
Um bom grau de trabalho em equipe depende de diversas atitudes e posturas que precisam ser tomadas por todos os membros do grupo. Dentre as alternativas abaixo, a única que traz uma postura que NÃO contribui para que haja um bom grau de trabalho em equipe é:
 

Provas

Questão presente nas seguintes provas
143950 Ano: 2018
Disciplina: Direito Constitucional
Banca: FAUEL
Orgão: Câm. Assaí-PR
Provas:
As contas do Município, após o parecer prévio, ficarão, durante sessenta dias, anualmente, à disposição de qualquer contribuinte. Assinale a opção correta, sobre o que ocorre depois:
 

Provas

Questão presente nas seguintes provas
143949 Ano: 2018
Disciplina: Direito Administrativo
Banca: FAUEL
Orgão: Câm. Assaí-PR
Provas:
Em relação à modalidade licitatória pregão, de acordo com a Lei Federal n°10.520/02, julgue os itens a seguir. I - Poderá ser realizado o pregão por meio da utilização de recursos de tecnologia da informação, nos termos de regulamentação específica. II - Pregão é a modalidade de licitação entre quaisquer interessados para escolha de trabalho técnico, científico ou artístico, mediante a instituição de prêmios ou remuneração aos vencedores, conforme critérios constantes de edital publicado na imprensa oficial com antecedência mínima de 45 (quarenta e cinco) dias. III - Para aquisição de bens e serviços comuns, poderá ser adotada a licitação na modalidade de pregão. Consideram-se bens e serviços comuns aqueles cujos padrões de desempenho e qualidade possam ser objetivamente definidos pelo edital, por meio de especificações usuais no mercado. IV - A fase externa do pregão será iniciada com a convocação dos interessados.
De acordo com as afirmativas acima, assinale a alternativa CORRETA:
 

Provas

Questão presente nas seguintes provas
143947 Ano: 2018
Disciplina: Administração Pública
Banca: FAUEL
Orgão: Câm. Assaí-PR
Provas:
Dentre as alternativas abaixo, qual é a única que traz duas características úteis para um servidor público que lida com situações delicadas que, por respeito ao contribuinte, precisam ser mantidas em sigilo?
 

Provas

Questão presente nas seguintes provas
143946 Ano: 2018
Disciplina: Administração Pública
Banca: FAUEL
Orgão: Câm. Assaí-PR
Provas:
Diante da omissão do dever de prestar contas, da não comprovação da aplicação dos recursos repassados pelo Estado e Municípios na forma prevista no inciso VI, do art. 1º, da ocorrência de desfalque ou desvio de dinheiro, bens ou valores públicos, ou ainda, da prática de qualquer ato ilegal, ilegítimo ou antieconômico de que resulte dano ao erário, a autoridade administrativa competente, sob pena de responsabilidade solidária, deverá:
 

Provas

Questão presente nas seguintes provas
143945 Ano: 2018
Disciplina: Matemática
Banca: FAUEL
Orgão: Câm. Assaí-PR
Provas:
Qual a probabilidade de se tirar 4 vezes seguidas um mesmo número em um dado comum de 6 faces?
 

Provas

Questão presente nas seguintes provas
143944 Ano: 2018
Disciplina: Matemática
Banca: FAUEL
Orgão: Câm. Assaí-PR
Provas:
Qual o produto entre as soluções da equação 2x²-x-3=0 ?
 

Provas

Questão presente nas seguintes provas
143943 Ano: 2018
Disciplina: Matemática
Banca: FAUEL
Orgão: Câm. Assaí-PR
Provas:
Um consultor cobra por seus serviços um valor fixo de R$300,00 mais R$50,00 por hora trabalhada para o cliente. Qual a função matemática que descreve o quanto custa os serviços desse consultor “P” em função da quantidade de horas trabalhadas “h”?
 

Provas

Questão presente nas seguintes provas
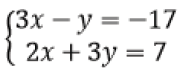
143942 Ano: 2018
Disciplina: Matemática
Banca: FAUEL
Orgão: Câm. Assaí-PR
Provas:

Qual o produto entre as incógnitas x e y da solução do sistema a seguir?

enunciado 143942-1

 

Provas

Questão presente nas seguintes provas