Foram encontradas 40 questões.
Disciplina: TI - Desenvolvimento de Sistemas
Banca: FUNDEP
Orgão: Câm. Belo Horizonte-MG
Analise estas afirmativas concernentes ao Diagrama de Interação da LMU:
I. Representa as mensagens que os objetos trocam entre si.
II. Enfatiza uma seqüência temporal por meio do Diagrama de Seqüência.
III. O Diagrama de Colaboração é um tipo de Diagrama de Interação.
A partir dessa análise, podese concluir que
Provas
Disciplina: TI - Desenvolvimento de Sistemas
Banca: FUNDEP
Orgão: Câm. Belo Horizonte-MG
Analise estas afirmativas concernentes ao diagrama de classe da LMU:
I. Representa a hierarquia de herança simples.
II. Representa a hierarquia de herança múltipla.
III. Representa os estados que os objetos de uma classe podem assumir.
A partir dessa análise, podese concluir que
Provas
Disciplina: TI - Desenvolvimento de Sistemas
Banca: FUNDEP
Orgão: Câm. Belo Horizonte-MG
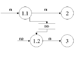
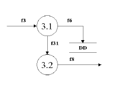
Analise este diagrama:

Assinale a alternativa que apresenta uma “explosão” CORRETA desse diagrama.
Provas
Disciplina: TI - Desenvolvimento de Sistemas
Banca: FUNDEP
Orgão: Câm. Belo Horizonte-MG
Analise estas afirmativas concernentes a modelos de processo de desenvolvimento de software:
I. A prototipagem é um modelo incremental que enfatiza um ciclo de desenvolvimento extremamente pequeno.
II. O modelo incremental e o modelo espiral associam elementos do modelo seqüencial linear e da prototipagem.
III. O modelo de desenvolvimento rápido de aplicação cria um “projeto rápido”, enfatizando a representação de aspectos que serão visíveis ao usuário.
A partir dessa análise, podese concluir que
Provas
Disciplina: TI - Desenvolvimento de Sistemas
Banca: FUNDEP
Orgão: Câm. Belo Horizonte-MG
Analise estas afirmativas concernentes a abordagens de análise:
I. A análise estruturada usa intensivamente a decomposição funcional.
II. O primeiro passo da análise orientada a objetos consiste em entender como o sistema será usado.
III. A LMU (Linguagem de Modelagem Unificada) é uma metodologia para desenvolvimento de software derivada das técnicas de Modelagem Baseada em Objeto.
A partir dessa análise, podese concluir que
Provas
Disciplina: TI - Desenvolvimento de Sistemas
Banca: FUNDEP
Orgão: Câm. Belo Horizonte-MG
2. Base de dados distribuída
3. Gestão de dados remota
4. Lógica distribuída
( ) Os dados encontram-se espalhados em múltiplos servidores.
( ) As tarefas de apresentação ao usuário são do cliente e as de gestão da base de dados são do servidor.
( ) A lógica da base de dados e da aplicação encontra-se no servidor.
Provas
Disciplina: TI - Desenvolvimento de Sistemas
Banca: FUNDEP
Orgão: Câm. Belo Horizonte-MG
Considere esta árvore B de ordem 2:

Assinale a alternativa que apresenta CORRETAMENTE essa mesma árvore depois da inclusão do número 28.
Provas
Disciplina: TI - Desenvolvimento de Sistemas
Banca: FUNDEP
Orgão: Câm. Belo Horizonte-MG
2. Sequencial
3. Comunicacional
4. Procedural
( ) Os elementos do módulo executam uma única tarefa.
( ) Os dados de saída de uma atividade são usados como dados de entrada da próxima atividade.
( ) Os controles fluem entre as atividades.
Provas
Disciplina: TI - Desenvolvimento de Sistemas
Banca: FUNDEP
Orgão: Câm. Belo Horizonte-MG
Analise estas afirmativas concernentes a objetivos das técnicas de construção de algoritmos estruturados e assinale com V as verdadeiras e com F as falsas:
( ) Antecipar a verificação de sua correção.
( ) Facilitar as atividades de manutenção e modificação dos algoritmos.
( ) Facilitar o entendimento das soluções propostas.
Assinale a alternativa que apresenta a seqüência de letras CORRETA.
Provas
Disciplina: TI - Redes de Computadores
Banca: FUNDEP
Orgão: Câm. Belo Horizonte-MG
Analise estas afirmativas concernentes a atribuições da camada de rede do modelo OSI:
I. Divide as mensagens grandes em pequenos pacotes para transmissão e reagrupa a mensagem na recepção.
II. Executa o roteamento de mensagens pela rede.
III. Coloca endereços físicos das interfaces de origem e destino no pacote a ser transmitido.
A partir dessa análise, pode-se concluir que
Provas
Caderno Container