Magna Concursos

Foram encontradas 175 questões.

3510261 Ano: 2022
Disciplina: TI - Banco de Dados
Banca: SELECON
Orgão: Câm. Lucas Rio Verde-MT
Provas:

Patrícia deseja saber qual o componente do Sistema Gerenciador de Banco de Dados que faz uso do sistema operacional para acessar os dados armazenados, controlando o acesso concorrente desses dados às tabelas do banco de dados. Esse componente é o:

 

Provas

Questão presente nas seguintes provas
3510260 Ano: 2022
Disciplina: TI - Banco de Dados
Banca: SELECON
Orgão: Câm. Lucas Rio Verde-MT
Provas:

Lais está trabalhando com normalização de dados. Após estudar as tabelas, ela verificou que uma tabela apresentava uma anomalia em que uma coluna dependia apenas de parte de uma chave primária composta, e a outra tabela não continha dependências multivaloradas. Lais concluiu que estas tabelas, nesse momento, estavam nas suas mais altas formas normais:

 

Provas

Questão presente nas seguintes provas
3510259 Ano: 2022
Disciplina: TI - Banco de Dados
Banca: SELECON
Orgão: Câm. Lucas Rio Verde-MT
Provas:

Vitor está elaborando a transformação de um modelo conceitual ER em um modelo lógico relacional. Neste caso, a entidade Empregado seria representada no esquema relacional por:

Enunciado 4146820-1

 

Provas

Questão presente nas seguintes provas
3510258 Ano: 2022
Disciplina: TI - Banco de Dados
Banca: SELECON
Orgão: Câm. Lucas Rio Verde-MT
Provas:

Ana queria fazer uma consulta sobre o banco de dados utilizando SQL para buscar os nomes dos empregados que estavam vinculados ao departamento de marketing.

As tabelas disponíveis são:

Dept (CodigoDepto, Nome)

Emp (CodEmp, CodigoDepto, Nome, CategFuncional, CIC)

Sendo CodigoDepto de Dept chave estrangeira.

Para isso, utilizou a seguinte instrução SQL:

 

Provas

Questão presente nas seguintes provas
3510257 Ano: 2022
Disciplina: TI - Banco de Dados
Banca: SELECON
Orgão: Câm. Lucas Rio Verde-MT
Provas:

Ao trabalhar com o Diagrama Entidade-Relacionamento (DER), Tales foi questionado sobre qual seria o mecanismo que permite a implementação de relacionamentos em um banco de dados relacional. Ele respondeu:

 

Provas

Questão presente nas seguintes provas
3510256 Ano: 2022
Disciplina: TI - Banco de Dados
Banca: SELECON
Orgão: Câm. Lucas Rio Verde-MT
Provas:

Joana solicitou ao analista de dados que elaborasse um modelo de dados abstrato que descrevesse a estrutura de um banco de dados de forma independente de um SGBD particular. Neste caso, Joana queria um:

 

Provas

Questão presente nas seguintes provas
3510255 Ano: 2022
Disciplina: TI - Desenvolvimento de Sistemas
Banca: SELECON
Orgão: Câm. Lucas Rio Verde-MT
Provas:

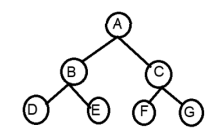
Paula visualizou a seguinte estrutura de dados:

Enunciado 4146813-1

A representação sequencial desta árvore binária é:

 

Provas

Questão presente nas seguintes provas
3510254 Ano: 2022
Disciplina: TI - Desenvolvimento de Sistemas
Banca: SELECON
Orgão: Câm. Lucas Rio Verde-MT
Provas:

Pedro deseja utilizar uma estrutura de dados estática e ordenada com elementos do mesmo tipo. Neste caso, ele deve utilizar um (a):

 

Provas

Questão presente nas seguintes provas
3510253 Ano: 2022
Disciplina: TI - Desenvolvimento de Sistemas
Banca: SELECON
Orgão: Câm. Lucas Rio Verde-MT
Provas:

Janete observou o seguinte trecho de código em Portugal:

Repita

<lista de comandos>

Até <condição>

Ela poderia obter o mesmo resultado deste trecho de código em:

 

Provas

Questão presente nas seguintes provas
3510252 Ano: 2022
Disciplina: TI - Desenvolvimento de Sistemas
Banca: SELECON
Orgão: Câm. Lucas Rio Verde-MT
Provas:

Carlos precisa trabalhar com três estruturas lógicas empregadas em seus algoritmos. Neste caso, ele deveria escolher:

 

Provas

Questão presente nas seguintes provas