Foram encontradas 545 questões.
Provas
Provas
Disciplina: TI - Desenvolvimento de Sistemas
Banca: Pref. Rio Janeiro-RJ
Orgão: Câm. Rio Janeiro-RJ
Em uma página de um site foram inseridas as duas imagens abaixo.

Em logo.png foi inserido um hiperlink para a URL http://www.camara.rj.gov.br/, mas não em cmrj.png. Dessa forma, na execução do código HTML, ao passar o cursor do mouse sobre a imagem logo.png surgirá uma “mãozinha”, indicando a existência do hiperlink, ao passo que na imagem cmrj.png nada acontecerá. Para essa situação, a codificação HTML será:
Provas
Disciplina: TI - Desenvolvimento de Sistemas
Banca: Pref. Rio Janeiro-RJ
Orgão: Câm. Rio Janeiro-RJ
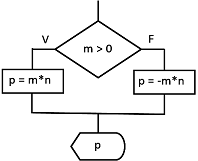
Observe o fluxograma e o código abaixo em JavaScript.

<script>
m=13
n=10
INSTRUÇÃO
document.write(p)
</script>
A sintaxe correta para a codificação do fluxograma
que utiliza operador condicional e que substitui
a palavra INSTRUÇÃO no código está indicada
em:
Provas
Disciplina: TI - Desenvolvimento de Sistemas
Banca: Pref. Rio Janeiro-RJ
Orgão: Câm. Rio Janeiro-RJ
Provas
- Aspectos BásicosPrincípios e Teorias de Arquivologia
- Administração de ArquivosFunções ArquivísticasDescrição Arquivística
- Atividades do Arquivo PermanenteAções Educativas e Culturais em Arquivologia
- Gestão de DocumentosIndexação
Considerar o artigo “Os usuários da informação arquivística” (Oliveira,2006), para responder à questão.
No sentido de chamar o usuário para o jogo de
difusão dos conteúdos informacionais arquivísticos,
alguns elementos são fundamentais, dentre eles
NÃO se inclui:
Provas
- Automação de ArquivosConceitos e Definições de Documentos Digitais
- Automação de ArquivosGED: Gestão Eletrônica de Documentos
- MicrofilmagemMicrofilmagem e Automação
Considerar a publicação “Diretrizes do produtor – A elaboração e a manutenção dos materiais digitais: diretrizes para indivíduos”, para responder à questão.
Na publicação mencionada, estão indicados os metadados de identidade, isto é, os nomes das pessoas envolvidas na produção dos materiais digitais que incluem o autor, redator, originador, destinatário e receptor. O originador é a pessoa:
Provas
Considerar o artigo “Os usuários da informação arquivística” (Oliveira,2006), para responder à questão.
O relacionamento remoto entre os agentes arquivista e usuário também possibilita ao segundo uma condição de interferência na comunicação, sem a inibição que o conteúdo direto com o profissional pode provocar. O usuário, nesse contexto, assume um papel central de:
Provas
Provas
Considerar a publicação “Diretrizes para implementação de repositórios digitais confiáveis de documentos arquivísticos”, para responder à questão.
O desenvolvimento de repositórios digitais
confiáveis é fundamental para se assegurar a autenticidade,
preservação e o acesso de longo prazo
aos documentos arquivísticos. Segundo o disposto
na publicação citada, os pesquisadores do
grupo de trabalho RLG/OCLC entendem que
repositório digital confiável é aquele que tem como:
Provas
Caderno Container