Foram encontradas 61 questões.
132298
Ano: 2009
Disciplina: TI - Desenvolvimento de Sistemas
Banca: FIP
Orgão: Câm. São José Campos-SP
Disciplina: TI - Desenvolvimento de Sistemas
Banca: FIP
Orgão: Câm. São José Campos-SP
Provas:
Assinale a alternativa incorreta:


Provas
Questão presente nas seguintes provas
132296
Ano: 2009
Disciplina: TI - Desenvolvimento de Sistemas
Banca: FIP
Orgão: Câm. São José Campos-SP
Disciplina: TI - Desenvolvimento de Sistemas
Banca: FIP
Orgão: Câm. São José Campos-SP
Provas:
Com relação às linguagens de programação, é incorreto afirmar que:
Provas
Questão presente nas seguintes provas
132295
Ano: 2009
Disciplina: TI - Desenvolvimento de Sistemas
Banca: FIP
Orgão: Câm. São José Campos-SP
Disciplina: TI - Desenvolvimento de Sistemas
Banca: FIP
Orgão: Câm. São José Campos-SP
Provas:
Com relação à Engenharia de Requisitos de Software, é correto afirmar que:
Provas
Questão presente nas seguintes provas
132294
Ano: 2009
Disciplina: TI - Desenvolvimento de Sistemas
Banca: FIP
Orgão: Câm. São José Campos-SP
Disciplina: TI - Desenvolvimento de Sistemas
Banca: FIP
Orgão: Câm. São José Campos-SP
Provas:
- Paradigmas de ProgramaçãoOrientação a ObjetosDefinição Técnica: Orientação a Objetos
- Paradigmas de ProgramaçãoOrientação a ObjetosOrientação a Objetos: Métodos
- Paradigmas de ProgramaçãoOrientação a ObjetosOrientação a Objetos: Polimorfismo
Os seguintes conceitos são típicos dos modelos orientados a objetos:
Provas
Questão presente nas seguintes provas
127627
Ano: 2009
Disciplina: TI - Desenvolvimento de Sistemas
Banca: FIP
Orgão: Câm. São José Campos-SP
Disciplina: TI - Desenvolvimento de Sistemas
Banca: FIP
Orgão: Câm. São José Campos-SP
Provas:
Com relação ao "Rational Unified Process" (RUP), não é correto afirmar que:
Provas
Questão presente nas seguintes provas
106609
Ano: 2009
Disciplina: TI - Desenvolvimento de Sistemas
Banca: FIP
Orgão: Câm. São José Campos-SP
Disciplina: TI - Desenvolvimento de Sistemas
Banca: FIP
Orgão: Câm. São José Campos-SP
Provas:
- Engenharia de SoftwareEngenharia de Requisitos
- Engenharia de SoftwareGerenciamento de Configuração de Software (SCM)
- Interoperabilidade e IntegraçãoWeb Services
- Qualidade de SoftwareAtributos de Qualidade de Software
Assinale a afirmação incorreta com relação ao desenvolvimento de uma aplicação que será disponibilizada na Web:
Provas
Questão presente nas seguintes provas
106608
Ano: 2009
Disciplina: TI - Desenvolvimento de Sistemas
Banca: FIP
Orgão: Câm. São José Campos-SP
Disciplina: TI - Desenvolvimento de Sistemas
Banca: FIP
Orgão: Câm. São José Campos-SP
Provas:
Um diagrama de casos de uso na UML 2.0 descreve:
Provas
Questão presente nas seguintes provas
106607
Ano: 2009
Disciplina: TI - Desenvolvimento de Sistemas
Banca: FIP
Orgão: Câm. São José Campos-SP
Disciplina: TI - Desenvolvimento de Sistemas
Banca: FIP
Orgão: Câm. São José Campos-SP
Provas:
Com relação à qualidade de software, é incorreto afirmar que:
Provas
Questão presente nas seguintes provas
106606
Ano: 2009
Disciplina: TI - Desenvolvimento de Sistemas
Banca: FIP
Orgão: Câm. São José Campos-SP
Disciplina: TI - Desenvolvimento de Sistemas
Banca: FIP
Orgão: Câm. São José Campos-SP
Provas:
Com relação à fase de projeto do ciclo de vida de um software, é correto afirmar que:
Provas
Questão presente nas seguintes provas
106605
Ano: 2009
Disciplina: TI - Desenvolvimento de Sistemas
Banca: FIP
Orgão: Câm. São José Campos-SP
Disciplina: TI - Desenvolvimento de Sistemas
Banca: FIP
Orgão: Câm. São José Campos-SP
Provas:
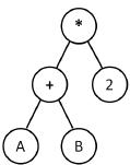
- Fundamentos de ProgramaçãoAlgoritmosAlgoritmos de OrdenaçãoHeap Sort
- Fundamentos de ProgramaçãoEstruturas de DadosEstrutura de Dados: ÁrvoreÁrvore Binária
- Fundamentos de ProgramaçãoEstruturas de DadosEstrutura de Dados: ÁrvorePercursos em Árvores
- Fundamentos de ProgramaçãoRecursividade
Assinale a alternativa incorreta:
Provas
Questão presente nas seguintes provas
Cadernos
Caderno Container