Foram encontradas 61 questões.
Ao aumentarmos a altura de um paralelepípedo retângulo em 2 unidades, em quanto aumenta a área total do paralelepípedo obtido?
Provas
Questão presente nas seguintes provas
Qual é o valor do menor ângulo formado pelos ponteiros de um relógio quando ele marca 09:35 horas?
Provas
Questão presente nas seguintes provas
Uma Indústria produz três tipos diferentes de produto. O primeiro produto consome 1 hora no setor de usinagem, meia hora no setor de montagem e 2 horas no setor de acabamento. O segundo produto consome meia hora no setor de usinagem, 1 hora e meia no setor de montagem e 1 hora no setor de acabamento. O terceiro produto consome 2 horas no setor de usinagem, 1 hora no setor de montagem e 2 horas no setor de acabamento. Sabendo que o setor de usinagem trabalha 70 horas por semana, o setor de montagem trabalha 50 horas por semana e o setor de acabamento trabalha 90 horas por semana, pergunta-se: quantos produtos de cada tipo essa indústria produz por semana?
Provas
Questão presente nas seguintes provas
Um hexágono é obtido unindo-se os pontos médios dos lados de um hexágono regular. É correto afirmar que a razão entre as áreas do hexágono maior e do menor é igual a:
Provas
Questão presente nas seguintes provas
Dada a equação da elipse 4y 2 + x2 - 12y + 2x + 6 = 0 , quais são os valores das medidas do eixo menor e do eixo maior?
Provas
Questão presente nas seguintes provas
A média semestral de um curso é dada pela média ponderada de três provas com peso igual a 1 na primeira prova, peso 2 na segunda prova e peso 3 na terceira. Qual a média de um aluno que tirou 8,0 na primeira, 6,5 na segunda e 9,0 na terceira?
Provas
Questão presente nas seguintes provas
Qual é o valor de m para que a equação (m - 1) x2 + mx + 1 = 0 admita duas raízes reais distintas?
Provas
Questão presente nas seguintes provas
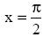
Dada a função f (x) = sen x - cos x , quantos zeros tem a função no intervalo 

Provas
Questão presente nas seguintes provas

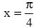
então o valor de cotg x é:
Provas
Questão presente nas seguintes provas

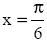
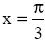
gráfico da função f (x) = 3 tg x em qual ponto?
Provas
Questão presente nas seguintes provas
Cadernos
Caderno Container