Foram encontradas 50 questões.
No MS-PowerPoint, existe a possibilidade
de se utilizar um slide “superior", em
uma hierarquia de slides, que armazena
informações sobre layouts de tema e slide de
uma apresentação, incluindo plano de fundo,
cores, fontes, efeitos, tamanhos de espaço
reservado e posicionamento. Esse tipo de
slide no MS-PowerPoint é tecnicamente
conhecido como
Provas
Questão presente nas seguintes provas
Um determinado usuário administrativo
(superusuário) do sistema operacional
Linux disparou o seguinte comando em um
X-terminal no diretório conhecido como raiz
ou barra: rm A* . O resultado desse comando,
após pressionar a tecla Enter do teclado, foi
Provas
Questão presente nas seguintes provas
É possível um computador pegar qualquer
tipo de malware simplesmente quando o
usuário visita uma página infectada. Isso
é chamado tecnicamente de “contágio por
contato". Uma das três variações do contágio
por contato é quando
Provas
Questão presente nas seguintes provas
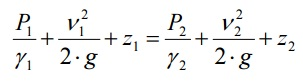
Para um reservatório de água aberto na superfície, determine a velocidade do jato de água na saída inferior do reservatório quando ele estiver cheio e com nível constante, sabendo que a saída está 5 metros abaixo do nível da água e adotando como massa específica da água 1000 kg/m3 e g = 10m/s2 . Equação da energia:

Provas
Questão presente nas seguintes provas
Em mecânica dos fluidos, como é definida a
relação entre volume e tempo que representa
a rapidez com a qual um volume escoa?
Provas
Questão presente nas seguintes provas
Para um reservatório de água aberto na
superfície e utilizado para o abastecimento
de uma região da cidade, determine a
pressão hidrostática produzida no fundo
do reservatório quando ele estiver cheio,
sabendo que a sua altura é de 8 metros e
adotando como peso específico da água
10000N/m3
.
Provas
Questão presente nas seguintes provas
No projeto de uma estação de tratamento
e abastecimento de água, está previsto a
construção de um reservatório apoiado sobre
o solo. O reservatório tem base quadrada
de 5 metros de lado e altura de 2 metros,
sendo seu peso de 125kN quando vazio. O
reservatório pode ser preenchido com água
potável, cuja massa específica é 1000kg/m3
.
Adote g = 10m/s2
e determine a pressão que
esse reservatório pode exercer no solo que o
apoia. Despreze a espessura das paredes do
reservatório.
Provas
Questão presente nas seguintes provas
1233491
Ano: 2016
Disciplina: TI - Organização e Arquitetura dos Computadores
Banca: AOCP
Orgão: CASAN-SC
Disciplina: TI - Organização e Arquitetura dos Computadores
Banca: AOCP
Orgão: CASAN-SC
Provas:
Em informática, é importante entender como
um computador interpreta os dados por meio
de sinais eletrônicos. O BIT (Binary Digit) é a
forma que o computador processa e interpreta
os dados. Ciente disso, assinale a alternativa
que representa, em binário, o número “2015”,
sabendo que esse número está na base 10.
Provas
Questão presente nas seguintes provas
1233490
Ano: 2016
Disciplina: TI - Organização e Arquitetura dos Computadores
Banca: AOCP
Orgão: CASAN-SC
Disciplina: TI - Organização e Arquitetura dos Computadores
Banca: AOCP
Orgão: CASAN-SC
Provas:
Um computador busca a primeira instrução
na memória e decodifica para determinar seus
operandos e as operações a serem executadas
com eles. Depois disso, ele as executa e ainda
na sequência ele busca, decodifica e executa
as instruções subsequentes. Isso é repetido até que o programa pare de executar. Essa
sequência é tecnicamente conhecida como
Provas
Questão presente nas seguintes provas
Para um levantamento topográfico,
são necessários instrumentos básicos
e auxiliares. Quais instrumentos são
considerados básicos?
Provas
Questão presente nas seguintes provas
Cadernos
Caderno Container